Фолацин
ФОЛАЦИН (витамин Вс, витамин B9, фолат), группа соед., включающая фолиевую к-ту (ф-ла I а) и ее производные.
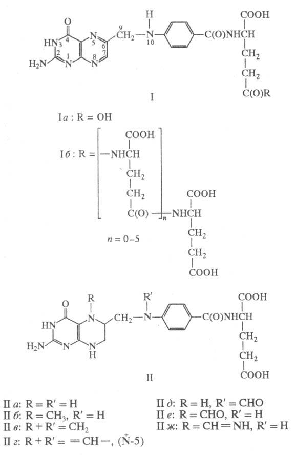
Фолиевая к-та (N-птероил-L-глутаминовая к-та) - мол. м. 441,41; бледно-желтые кристаллы, разлагается при т-ре 25O0C;
19,9 (концентрация 1% в 0,1 н. NaOH); очень плохо раств. в воде (0,001% при 2 0C и 0,05% при 100 0C), этаноле, легко - в разб. р-рах щелочей, раств. в разб. к-тах, не раств. в ацетоне, диэтиловом эфире, хлороформе и углеводородах; lмакс в 0,1 н. NaOH (рН 13) 256, 282 и 365 нм (e соотв. 30000, 26000 и 9800). Фолиевая к-та стабильна в слабокислых и нейтральных водных р-рах; в водных р-рах на свету и в щелочных р-рах в присут. O2 быстро разлагается на n-аминобензоилглутаминовую к-ту и 6-формилптерин, окисляющийся в 6-птеринкарбоновую к-ту. В отсутствие O2 в щелочных р-рах устойчива. При нагр. с минер. к-тами легко гидролизуется с образованием 6-метилптерина.
Фолиевая к-та широко распространена в природе, присутствуя во всех животных, растит. и микробных клетках. Особенно велико ее содержание в листьях зеленых растений и в таких продуктах питания (приводится кол-во фолиевой к-ты в мкг в 100 г продукта), как печень (240), почки (56), зеленые овощи (петрушка - 110, салат - 48), хлеб из целого зерна и муки грубого помола (20-30). Мясо, яйца и молоко более бедны фолиевой к-той (4-15).
Животные не способны к синтезу фолиевой к-ты. Растения и микроорганизмы синтезируют ее из n-аминобензойной к-ты и гуанозинтрифосфата, используемого в качестве предшественника птериновой части молекулы фолиевой к-ты.
Биологически активные формы фолиевой к-ты -5 6,7,8-тетрагидрофолиевая к-та (ТГФК; II а) и ее производные (коферментные формы фолацина)·

Превращение фолиевой к-ты в ТГФК в животных тканях происходит в два этапа: на первом фолиевая к-та, присоединяя два атома H, превращается в дигидрофолиевую, на втором происходит присоединение еще двух атомов H, в результате чего образуется ТГФК. Оба этапа катализирует фермент тетрагидрофолатдегидрогеназа.
Фолиевая к-та и ее коферментные формы присутствуют в тканях в виде т. наз. конъюгированных форм, или птероил-полиглутаматов, в к-рых вместо одного остатка глутаминовой к-ты содержится от 2 до 7 ее остатков, связанных пептидными связями (ф-ла I б).
Участвуя в качестве кофермента в разл. ферментативных р-циях, связанных с отщеплением одноуглеродных фрагментов, ТГФК осуществляет их перенос, выступая в одних р-циях в качестве акцептора, в других - в качестве донора этих фрагментов.
К числу одноуглеродных фрагментов, переносимых ТГФК в этих превращениях, относятся группы CH3, CH2,
, CHO,
. Присоединяя эти группы, ТГФК образует след, производные: 5-метил- (II б), 5,10-метилен- (II в), 5,10-метинил-(II г), 10-формил- (II д), 5-формил- (II e)и 5-формиминотетрагидрофолиевые к-ты (II ж). Взаимопревращения этих производных образуют т. наз. цикл фолиевой к-ты.
Осн. источники одноуглеродных фрагментов, акцептируемых ТГФК в р-циях катаболизма, - a-С-атом глицина, b-С-атом серина, атом С-2 индольного кольца гистидина, а также образующиеся в организме в процессе обменных р-ций CHOOH, CH2O и ряд др. соединений.
Важная ф-ция коферментных форм фолацина- их участие в биосинтезе пуриновых оснований (аденина и гуанина). В этом процессе 10-формил- и 5,10-метинил-ТГФК служат источниками соотв. атомов С-2 и С-8 пуриновых оснований.
В биосинтезе пиримидинового кольца фолатные кофермен-ты непосредственного участия не принимают, но они служат источником группы CH3 при образовании дезокситимидин-монофосфата (дТМФ) из дезоксиуридинмонофосфата.
Участие коферментных форм фолацина в биосинтезе дТМФ и пуриновых оснований, входящих в состав ДНК и РНК, определяет важную роль этого витамина в биосинтезе нуклеиновых к-т, в процессах роста и развития, пролиферации (увеличение числа клеток) тканей, в частности, в процессах кроветворения и эмбрионального развития.
Фолиевая к-та всасывается в тонком кишечнике преим. в виде свободной птероилмоноглутаминовой к-ты. Поскольку фолаты пищи представлены гл.обр. полиглутаматами, то необходимым условием их всасывания и утилизации является их предварит. расщепление g-L-глутамил-карбоксипептида-зой (конъюгазой), присутствующей в больших кол-вах в желчи, соке поджелудочной железы, стенке тонкого кишечника и др. тканях.
При недостаточном потреблении фолацина страдают прежде всего ткани, для к-рых характерен интенсивный синтез нуклеиновых к-т и высокая скорость деления клеток (кроветворные органы и слизистая оболочка кишечника). Развивается т. наз. макроцитарная анемия. Со стороны органов пищеварения выявляются стоматит, гастрит и энтерит. Дефицит фолацина во время беременности ведет к недоношенности, гипотрофии новорожденных, нарушениям их развития, появлению врожденных уродств.
Хим. (в т. ч. пром.) синтез фолиевой к-ты осуществляют по одной из след. схем: одновременной конденсацией 2,4,5-три-амино-6-гидроксипиримидина, 2,3-дибромпропионового альдегида и N-(n-аминобензоил)-L-глутаминовой к-ты; постепенным наращиванием молекулы фолиевой к-ты, начиная с пиримидиновой части молекулы или с n-аминобензоил-L-глу-таминовой к-ты.
Фолиевую к-ту, полученную пром. синтезом, применяют в качестве обязат. компонента заменителей женского молока и др. детских питат. смесей, она входит в состав премиксов, используемых для обогащения витаминами разл. продуктов питания (молока, хлебобулочных изделий, безалкогольных напитков и др.), а также кормов сельскохозяйственных животных, входит в состав поливитаминных и комплексных витамино-минеральных препаратов профилактич. или лечебного назначения.
Фолиевая к-та применяется для профилактики и лечения макроцитарной анемии, при лейкопениях, хронич. гастроэн-тероколитах, после резекции кишечника. Дополнит. профилактич. прием фолиевой к-ты (лучше в составе поливитаминных или витамино-минеральных препаратов) полезен женщинам детородного возраста, беременным и кормящим матерям.
Нек-рые производные фолиевой к-ты - аминоптерин (4-аминоптероилглутаминовая к-та) и аметоптерин (4-ами-но-10-метилптероилглутаминовая к-та), или метотрескат, являются ее биол. антагонистами (антивитаминами) и подавляют рост и деление клеток. В связи с этим их применяют при лечении острых лейкозов и ряда онкологич. заболеваний. Антагонистами фолиевой к-ты являются также сульфанила-мидные препараты, нарушающие у микроорганизмов биосинтез фолиевой к-ты.
Рекомендуемая норма потребления фолиевой к-ты взрослыми мужчинами и женщинами составляет 200 мкг в сутки, увеличиваясь при беременности и кормлении грудью в 2-3 раза.
Лит.: Березовский В.M., Химия витаминов, 2 изд., M., 1973; Витамины, под ред. M. И. Смирнова, M., 1974; Экспериментальная витаминология, под ред. Ю. M. Островского, Минск, 1979; В г о d у T. [а. о.], в кн.: Handbook of vitamins. Nutritional, biochemical and clinical aspects, ed. by L. J. Machlin, N. Y.- Basel, 1984, p. 459-96; Isler O. [u.a.], Vitamine П. Wasserlosliche Vitamine, Stuttg.- N. Y., 1988. В. Б. Спиричев.