Макрогетероциклические красители

МАКРОГЕТЕРОЦИКЛИЧЕСКИЕ КРАСИТЕЛИ, содержат в молекуле макрогетероцикл гл. обр. из 16 или 14 атомов (скелеты цикла представлены ф-лами соотв. I и II).
622_640-22.jpg
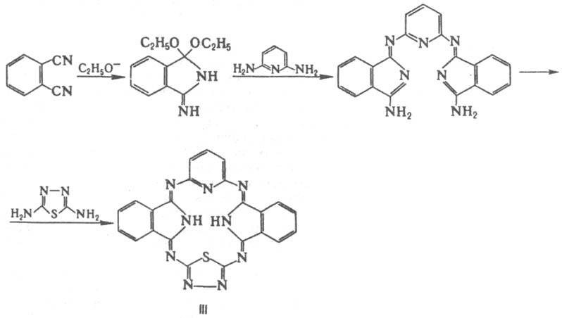
Макроцикл построен из четырех одинаковых или разных (соотв. симметричные и несимметричные макрогетероциклические красители) гетероароматич. или ароматич. остатков, связанных мостиками из атомов С или N. Большинство макрогетероциклических красителей способно образовывать прочные комплексы с атомами Сu, Ni, Fe, Mg и др. металлов. Цвет - от глубокого синего и зеленого до желтого в зависимости от числа p-электронов в сопряженной системе макроцикла или отсутствия сопряжения, характера заместителей и металла-комплексообразователя. Важнейшие макрогетероциклические красители - фталоцианиновые красители (симметричные макрогетероциклические красители), содержащие октаазациклогексадекановое кольцо (ф-ла I; X = Y = N). Структурные аналоги фталоциа-нинов - порфирины, имеющие тетраазациклогексадекановое кольцо (X = С, Y = N). Несимметричные макрогетероциклические красители получают ступенчатым синтезом нециклич. фрагментов с послед. их циклизацией; пример -синтез оранжевого красителя ф-лы III взаимод. фталодинитрила с 2,6-диаминопиридином в спирте в присут. алкоголята с послед. обработкой 2,5-диамино-3,4-тиадиазолом:
622_640-23.jpg
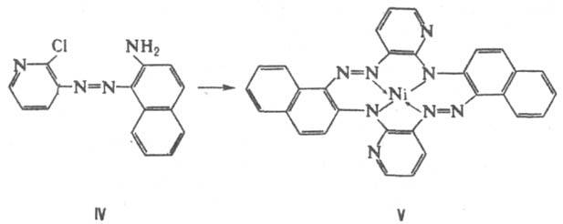
Макрогетероциклические красители, содержащие гексаазациклотетрадекановое кольцо (ф-ла II), получают циклизацией о-амино-о'-галогеназосоединений или смеси о,о'-диамино- и о,о'-дигалогеназосоединений в присут. солей металлов. Напр., макрогетероциклический краситель темно-зеленого цвета ф-лы V синтезируют кипячением азокрасителя IV с (CH3COO)2Ni.2О в ДМФА в присут. К2СО3:
622_640-24.jpg
Макрогетероциклические красители - пигменты для крашения пластмасс и в полиграфии, дисперсные красители для синтетич. волокон.

Литература
Степанов Б. И., Введение в химию и технологию органических красителей, 3 изд., М., 1984. С. И. Попов.

Синонимы/примеры:* Фталоцианины; Цианиновые красители; Порфирины
*подобраны ИИ, возможны неточности