Порфирины
ПОРФИРИНЫ, прир. макрогетероциклич. пигменты, содержащие в молекуле цикл порфина (ф-ла I). Формально получаются из порфина замещением атомов Н в цикле на разл. орг. радикалы. К порфиринам относят такие важные пигменты, как гемо-глобины, хлорофиллы, цитохромы и нек-рые др. ферменты (каталаза, пероксидаза). Обнаружены порфирины также в выделениях животных, оперении птиц, скорлупе яиц, раковинах моллюсков, нефтях, битумах, ископаемых орг. остатках, метеоритах.
Атомы С в порфиринах нумеруют, согласно но менклатурам ИЮПАК (ф-ла Па) или Фишера (Ш). Четыре атома С (5, 10, 15 и 20 в ф-ле Ш), связывающие пиррольные циклы, наз. мезо-угле-родными атомами.
Число изомеров положения для порфиринов определяется кол-вом заместителей и их расположением в молекуле. Для порфиринов с двумя заместителями (напр., СН3 и С2Н5) при условии, что оба заместителя присутствуют в каждом пиррольном цикле, возможны 4 типа изомеров. При наличии трех разл. заместителей число типов возрастает до 15. Природные порфирины с двумя заместителями обладают гл. обр. расположением типа III, с тремя-типа IX (см. табл.).





Порфин и порфирины - высокоплавкие интенсивно окрашенные соед. (гл. обр. темно-красного цвета); т. разл. порфина 360°С, порфиринов-ок. 500°С, порфирины хорошо раств. в СНС13, ДМФА, хуже в этаноле и метаноле, не раств. в воде. Молекулы порфиринов плоские и обычно ассоциированы вследствие образования водородных связей. В УФ спектре порфиринов lмакс ~ 400 нм (т. наз. полоса Соре, е 400 000), 500 600 нм (е 15 000 и менее)
Порфирины - ароматич. структуры; обладают высокой энергией сопряжения (840 кДж/моль), что проявляется в стабильности соединений. Для порфиринового цикла характерно наличие двух таутомерных форм:

Порфирины-амфотерные соед.; атомы N в молекуле способны присоединять протоны с образованием моно- или дикатио-нов, обе группы NH-отщеплять протоны с образованием моно- или дианионов: 
РН2
порфирин, Р2--дианион,
-дикатион. Порфирины-слабые к-ты; рК1 и рК2 (для этиопорфирина) +16, рК3 октаалкилпорфиринов ок. +5,5 (2,5%-ный водный р-р додецилсульфата Na).
При взаимод. с солями металлов порфирины образуют металло-порфирины, наиб. важный из к-рых-гем, или ферропрото-порфирин (см. Гемоглобин); наиб. важный гидрир. металло-порфирин-хлорофилл. Металлопорфирины легко вступают в р-ции электроф. замещения, гл. обр. по мезо-положениям. Для свободных порфиринов эти р-ции затруднены вследствие образования в кислой среде дикатиона, не вступающего в электроф. р-ции.
Порфирины и их металлокомплексы легко восстанавливаются. Легче всего протекает электрохим. восстановление с образованием моно- и дианионов, к-рые являются сильными ну-клеофилами и быстро реагируют (гл. обр. по мезо-углерод-ным атомам) с донорами протонов и такими электрофилами, как СН3I. Мягкое гидрирование цикла порфиринов приводит к хлоринам (ф-ла III) и флоринам (IV), более глубокое-к бактериохлоринам (V), порфодиметенам (VI), порфомете-нам (VII) и порфириногенам (VIII).






Если в порфиринах присутствуют ненасыщ. заместители, напр. ви-нильная группа, то до порфириногенов такие соед. восстанавливаются амальгамой Na. Обработка порфириногенов О2 воздуха на свету, иодом или 2,3-дихлор-5,6-дицианобен-зохиноном приводит к их переходу в порфирины. Под действием HI происходит, как правило, разрыв кольца порфиринов и образование смеси пирролов.
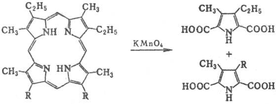
Под действием мягких окислителей или электрохимически порфирины и их металлокомплексы образуют продукты окисления-катион-радикалы, под действием сильных окислителей (напр., СrO3, КМnО4) происходит разрыв кольца:


Окислит. расщепление порфиринов в организме приводит к образованию желчных пигментов. Порфирины сравнительно легко метилируются по атомам N, напр.
•
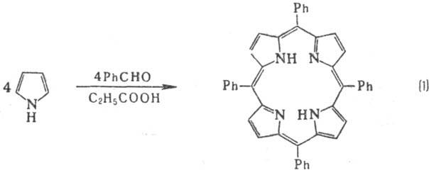
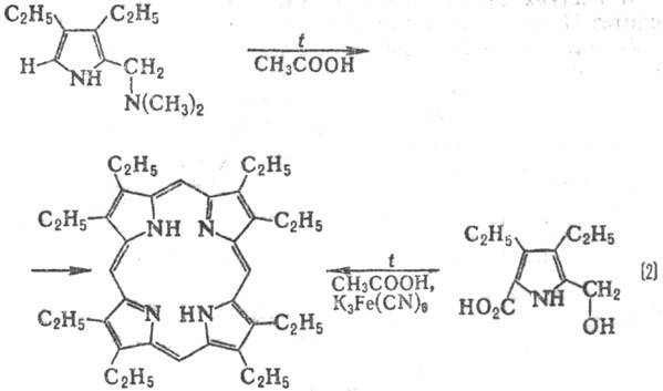
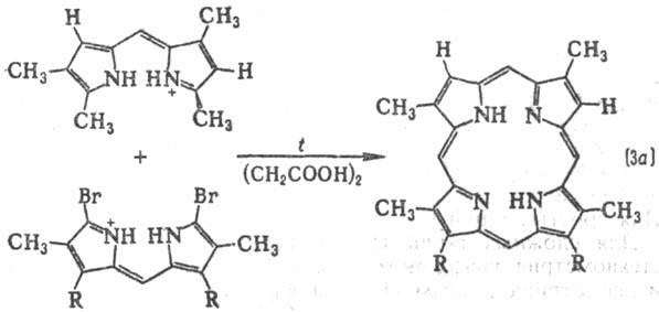
Метальные группы испытывают пространств. затруднения, вследствие чего макроцикл оказывается "гофрированным". Методы синтеза порфиринов: конденсация монопирролов с альдегидами (р-ция 1); самоконденсация монопирролов, содержащих в положении 2 группу СН2Х, где X = О Ас, ОН, Сl, Вr, N(CH3)2 (р-ция 2); конденсация дипиррилметенов и дипир-рилметанов (3а и 3б); конденсация тетрапиррольных ингер-медиатов, к-рые м. б. получены, в свою очередь, из дипиррилметенов, дипиррилметанов или ступенчатым синтезом из монопирролов (напр., р-ция 4).





В клетках растительных и животных организмов биосинтез порфиринов осуществляется из глицина и янтарной к-ты.
Порфирины- основа нек-рых прир. красителей, модельные соед. для изучения процесса оксигенации при фотосинтезе, лек. препараты в терапии рака (напр., димер гематопорфирина-фото-фрин); металлокомплексы порфиринов-катализаторы окисления и эпоксидирования углеводородов.
Лит.: Химия биологически активных природных соединений, под ред. Н.А. Преображенского и Р. П. Евстигнеевой, М., 1976, с. 100-84; Общая органическая химия, пер. с англ., т. 8, М., 1985, с. 388-413; Порфирины: структура, свойства, синтез, под ред. Н.С. Ениколопяна, М., 1985; Порфирины: спектроскопия, электрохимия, применение, под ред. Н.С. Ениколопяна, М., 1987; Falk J. E., Porphyrins and meta!lopcrphyrins, Amst.-L.-N. Y., 1964; Dolphin D. (ed.), The Porphyrins. Structure and synthesis, v. 1, pt A, L.-N. Y., 1978. P. П. Евстигнеева.