Маточные средства
МАТОЧНЫЕ СРЕДСТВА, влияют на сократительную активность и тонус миометрия (гладкой мускулатуры матки). К маточным средствам, усиливающим моторику миометрия, относятся окситоцин, его полусинтетич. аналог дезаминоокситоцин (замещена группа NH2 у цистеина и атом Н), нек-рые др. гормоны задней доли гипофиза, а также содержащие их препараты, получаемые из гипофиза крупного рогатого скота и свиней. Кроме того, подобными св-вами обладают прир. и синтетич. простагландины, а также алкалоиды: пахикарпин (см. Хинолизидиновые алкалоиды), сферофизин (CH3)2CHCH=CHNH(CH2)4NHC(NH2)=NH.2C6H5COOH, выделенный из сферофизы солончаковой (Sphaerophysa salsula Pall. Dc.) и применяемый в виде дибензоата, хинин, а также касторовое масло и синтетич. препарат - дигидрохлорид изоверина (CH3)2CH(CH2)2NH(CH2)5NH2.2HCl. К маточным средствам, ослабляющим моторику миометрия (токолитики), относятся гл. обр. b2-адреномиметич. препараты, в частности ритордин (ф-ла I). Указанными св-вами обладают также лек. ср-ва нейротропного и миотропного действия (напр., седативные средства, холинолитические средства, спазмолитические средства).
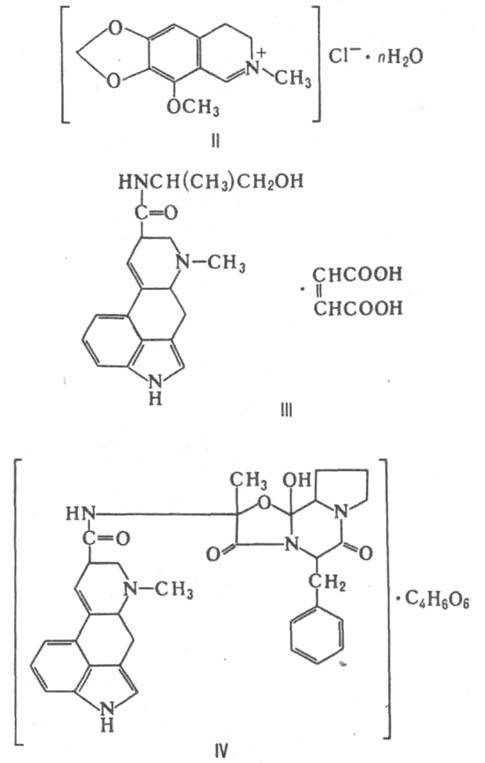
Маточные средства, вызывающие стойкое повышение тонуса миометрия, включают синтетич. соед., напр. хлорид катарнина или стиптицин (II) и алкалоиды спорыньи (см. Эргоалкалоиды). Из последних применяют малеат эргометрина (III) и гидротартрат эрготамина (IV). При длит. применении алкалоидов спорыньи могут возникать отравления (эрготизм).
Маточные средства применяют для усиления родовой деятельности и при маточных кровотечениях.
Литература
Машковский М. Д., Лекарственные средства, 9 изд., ч. 1, М., 1984, с. 518-31. Г. Я. Шварц.
Синонимы/примеры:*
Окситоцин; Метилэргометрин; Эрготамин; Простагландины
*подобраны ИИ, возможны неточности
Ещё по теме
Токолитические средства — виды и механизм действия
Спазмолитические средства — виды и механизмы действия
Метилэргометрин — применение и особенности
Противоопухолевые средства — виды и механизм действия
Психостимулирующие средства — виды и применение
Метилокситоцин — свойства и применение
Противомикробные средства — классификация и применение
Противосудорожные средства — типы и механизм действия
Гонадотропины и их роль в медицине
Противопротозойные средства — виды и применение
Природные полипептиды и их роль в организме
Окситоцин — свойства и применение
Психотропные средства — виды и применение
Этомидат — средство для кратковременной анестезии
Симпатолитические средства — механизм действия и применение