Бензопиридазины

БЕНЗОПИРИДАЗИНЫ, мол. м. 121,14. Существуют в виде двух изомеров - бензо[d]пиридазина, или фталазина (ф-ла I), и бензо[с]пиридазина, или циннолина (II).
1052-53.jpg

Светло-желтые кристаллы (см. табл.); хорошо раств. в воде, спирте, бензоле, хлороформе.

СВОЙСТВА ИЗОМЕРНЫХ БЕНЗОПИРИДАЗИНОВ
1052-54.jpg

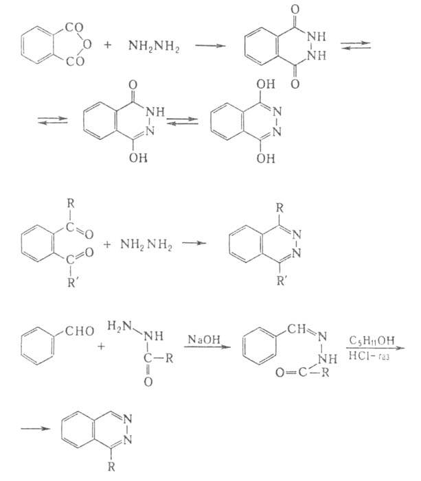
Электроф. замещение идет в бензопиридазинах гл. обр. в положения 5 и 8; реакц. способность др. положений для циннолина уменьшается в ряду 6, 7>31052-55.jpg4. Группы Hal, CH3SO2, CH3SO, NO2, SH в положениях 1 и 4 фталазина, 3 и 4 циннолина, а также Hal в бензольном кольце легко замещаются при р-циях бензопиридазинов с алкоголятами, аминами, NH3, гидразином. Алкилзамещенные в положениях 1 и 4 для фталазина или 4 для циннолина конденсируются с хлоралем, бензальдегидом, фталевым ангидридом. При окислении щелочным р-ром КМnО4 фталазин образует пиридазин-4,5-дикарбоновые к-ты, а циннолин-пиридазин-3,4-дикарбоновые к-ты. Окисление фталазина монопероксифталевой к-той, а циннолина - Н2О2 в уксуснокислой среде приводит к N-оксидам. Фталазин получают взаимод. фталевого альдегида со спиртовым р-ром гидразингидрата:
1053-1.jpg

Производные фталазина, не имеющие заместителей в бензольном кольце, образуются по р-циям:
1053-2.jpg

Циннолин синтезируют из 4-гидроксициннолина, восстанавливая промежут. хлорпроизводное, или из 4-метилциннолина, напр.:
1053-3.jpg

Внутримолекулярная циклизация производных о-аминостирола или о-аминоацетофенона приводит соотв. к замещенным циннолина или 4-гидроксициннолина, напр.:
1053-4.jpg

Производные 4-гидроксициннолина получают также по р-ции:
1053-5.jpg

Гидрохлорид 1-гидразинофталазина (апрессин) и 1,4-дигидразинофталазина (непрессол) - спазмолитич. и гипотензивное ср-во. Циннолин токсичен.

Литература

Иванекий В. И., Химия гетероциклических соединений, М.. 1978; Гетероциклические соединения, пер. с англ., т. 6, М., 1960, с. 1 17-94: Общая органическая химия, пер. с англ., т. 8, М., 1985, с. 160-64.