Полибензимидазолы
ПОЛИБЕНЗИМИДАЗОЛЫ, содержат в повторяющемся звене макромолекулы в качестве фрагментов бензимида-зольные циклы. Наиб. значение получили ароматические полибензимидазолы (полигетероарилены) - аморфные или кри-сталлич. в-ва от желтого до оранжевого цвета; плотн. 1,2-1,4 г/см3; т. стекл. 250-4500C, т. разл. ок. 5000C на воздухе и в инертной атмосфере. Большинство полибензимидазолов раств. только в конц. H2SO4, нек-рые из них-также в ДМФА, ДМСО с добавкой LiCl, HCOOH. Ур-ние зависимости вязкости от мол. массы для поли-м-фе-нилендибензимидазола: [h] = 1,736· 10-3M0,63 (N,N-диметилацетамид; 300C). Полибензимидазолы образуют относительно стабильные сольваты и гидраты, устойчивы к действию р-ров к-т и щелочей. При замене атома водорода в имида-зольном цикле на фенил возрастает устойчивость полибензимидазолов к термич. и термоокислит. деструкции, но понижается теплостойкость. Термостойкость повышается также после структурирования, напр. после взаимодействия полибензимидазолов с формальдегидом.

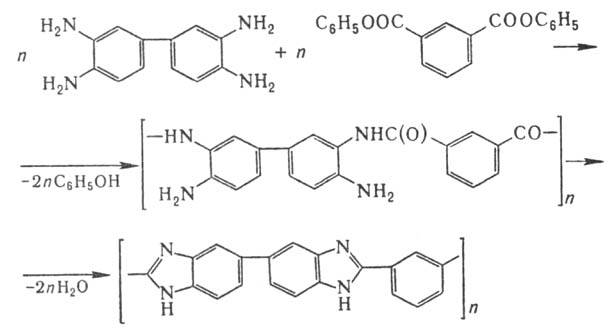
Осн. метод синтеза полибензимидазолов — полициклоконденсация тетра-аминов или их гидрохлоридов с дикарбоновыми к-тами или их производными (лучше с дифениловыми эфирами) в инертной атмосфере при 250-3000C и пониж. давлении. Образующийся на первой стадии форполимер в измельченном виде при 400 0C в высоком вакууме или инертном газе превращают в высокомолекулярный полибензимидазол:

Для последнего характерно низкое содержание гель-фракции и повыш. р-римость. Синтез полибензимидазолов этим методом проводят также в полифосфорной к-те, используя длит. нагревание (100-2000C) исходных соед. и выделяя полибензимидазолы осаждением водой. В таких же условиях получают поли-N-фенилбензимидазолы из бис-(N-фенил)замещенных ароматич. тетра-аминов и дифениловых эфиров дикарбоновых к-т.
Полибензимидазолы получают также: полициклоконденсацией дисульфит-ных производных диальдегидов с тетрааминами в р-ре (в N,N-диметилацетамиде, ДМФА, ДМСО) или тетрааминов с диацетильными производными ароматич. соед. в две стадии; термич. полициклизацией ароматич. поли(о-ацетамидо)аминов, синтезируемых поликонденсацией 4,4-диацета-мидо-3,3'-диаминодифенилоксида с дихлорангидридами дикарбоновых к-т; полициклоконденсацией ароматич. диаминов с n-бис-(гидроксииминохлорметильными) соед. в N,N-диметилацетамиде при 20-2400C с образованием сначала полиамидоксимов, к-рые под влиянием дегидрати-рующих ср-в, напр. пиридина и(или) n-толуолсульфохло-рида, превращ. в полибензимидазолы; поликонденсацией соед., содержащих бензимидазольные циклы.
Полибензимидазолы (гл. обр. поли-м-фенилендибензимидазол) применяют в произ-ве волокон, пленок, пенопластов, как пленкообра-зователь в клеях (для металлов), связующее для стеклопластиков; из поли-2,2'-октаметилен-5,5'-дибензимидазола изготовляют корпуса аккумуляторов.
Впервые полибензимидазолы были получены К. С. Бринкером и И. M. Робинсоном в 1959.
Лит.: Коршак В. В., Термостойкие полимеры, M., 1969; Ли Г., Стоффи Д., H с вил л К., Новые линейные полимеры, пер. с англ., M., 1972; Бюллер К.-У., Тепло- и термостойкие полимеры, пер. с нем., M., 1984.
Я. С. Выгодский.