Триазины
ТРИАЗИНЫ, мол. м. 81,08. Различают: 1,3,5-триазин, или симметричный (ф-ла I); 1,2,4-триазин, или несимметричный (II); 1,2,3-триазин, или вицинальный (III).

1,3,5-Триазин и его производные. Незамещенный 1,3,5-триазин-бесцв. кристаллы, т.пл. 86°С, т.кип. 114°С; хорошо раств. в этаноле, диэтиловом эфире; с к-тами образует соли. В отличие от своих более стабильных производных, неустойчив к действию нуклеофилов: водой легко гидролизуется в формиат аммония; амины вызывают раскрытие цикла с образованием формамидинов и др. соед.; если амин имеет еще к.-л. функц. группу, то вслед за размыканием кольца происходит рециклизация, напр.:

Аналогично при р-ции 1,3,5-триазина с о-фенилендиамином получается бензимидазол, с 4,5-диаминопиримидином-пурин, с 4,5-диаминоурацилом-ксантин и т.п.; при действии N2H4·HCl 1,3,5-триазин превращается в 1,2,4-триазол. С имино-эфирами или амидинами образует алкил(арил)производные 1,3,5-триазина:

С соед., имеющими активированную группу СН2, 1,3,5-триазин реагирует с образованием замещенных пиримидина:

1,3,5-Триазин и его производные вступают в диеновый синтез с диенофилами, содержащими электронодонорные заместители, напр.:

В р-ции электроф. замещения 1,3,5-триазин и его производные вступают с трудом: сульфирование и нитрование не удаются вследствие раскрытия цикла; хлорирование до цианурхлорида (ф-ла IV; R = С1) идет в жестких условиях (140-200 °С) с плохим выходом; при бромировании удается получить 2,4-дибром-1,3,5-триазин, а также 1,2,4,6-тетрабром-1,2-дигидро-1,3,5-триазин.
Общий способ получения 1,3,5-триазина и его наиб. важных 2,4,6-производных -циануровой кислоты (IV; R = ОН), циа-нурхлорида, меламина (IV; R = NH2) и др. - циклотримери-зация соед., содержащих группу Cs=N, гл. обр. нитрилов:

Условия р-ции зависят от природы R: чаще всего она идет при нагр. и в присут. катализаторов (напр., НС1 и его комплексов с к-тами Льюиса, иногда оснований); при R = СН=СН2 или ОН может идти самопроизвольно; при R = Alk необходимо давление до 100 МПа, однако введение в R электроотрицат. заместителей резко облегчает р-цию. Соед., имеющие две группы C=N, в условиях тримеризации могут образовывать разветвленные полимеры, содержащие триазиновые циклы.
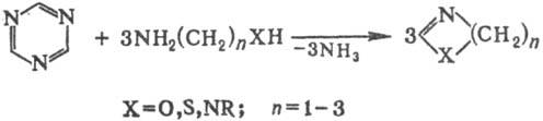
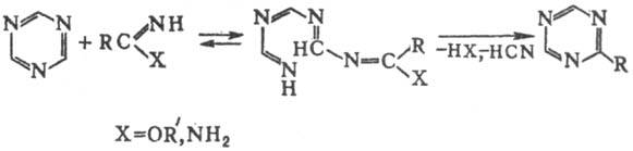
Для формирования триазинового цикла м. б. также использованы соед. общей ф-лы RC(X)=NH (R = H, Alk, Ar; X = H, ОС2Н5, ОСН2С6Н5, Сl, NН2)-иминоэфиры, ами-дины, альдимины и др.; р-ция может идти как с отщеплением НХ, так и без него (с образованием производных гексагидро-1,3,5-триазина).
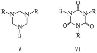
Незамещенный 1,3,5-триазин обычно получают конденсацией CH3COONH4 с триэтилортоформиатом. Конденсацией аминов RNH2 (или алканоламинов) с СН2О синтезируют производные гексагидро-1,3,5-триазина (V), каталитич. тримери-зацией изоцианатов RN=C=O-изоцианураты (VI):

Производные гексагидро-1,3,5-триазина - антисептики (напр., V; R = Alk, гидроксиалкил), бактерициды, отбеливатели; 1,3,5-тринитро-1,3,5-триазациклогексан (V; R = NO2), или гексоген,- бризантное ВВ. Аллилцианурат (V; R = = ОСН2СН=СН2) и аллилизоцианурат (VI; R = = СН2СН=СН2)-модификаторы в произ-ве меламино-формальдегидных смол. Мн. кетопроизводные 1,3,5-триазина-физиологически активные в-ва; напр., рибофуранозид 4-амино-1,3,5-триазин-2-она (5-азацитидин) проявляет противоопухолевую и противолейкемич. активность; 6-диметиламино-1 -метил-3-циклогексил-1,3,5-триазин-2,4-дион (гексазинон) -гербицид.
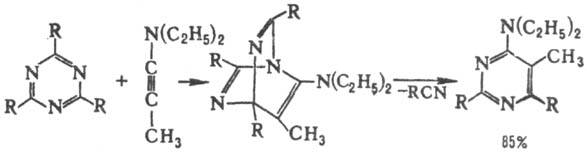
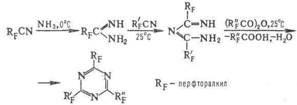
Несимметрично замещенные производные 1,3,5-триазина, к-рые не м. б. получены методами тримеризации, синтезируют из соответствующих нециклич. соед. (бигуанидов, цианамиди-нов, изоцианатов и др.). Нек-рые фторорг. производные получаютпо схеме:
Используя в подобных р-циях вместо нитрилов динитри-лы, синтезируют производные ф-лы VII, а также полимеры ф-лы VIII, отличающиеся высокой термич. и хим. стабильностью:

Первые-смазки и гидравлич. жидкости с т-рой кипения до 400 °С, вторые-высокостойкие герметики.
2,4,6-Замещенные 1,3,5-триазина получают гл. обр. из цианур-хлорида, последовательно заменяя в нем один, два или три атома Сl (во все более жестких условиях) на одинаковые или разные нуклеоф. группы. Нек-рые из полученных таким путем разл. производных - красители для целлюлозных волокон, оптич. отбеливатели, антисептики; мн. диаминопро-изводные-гербициды-атразин, прометрин, симазин, хлор-сульфурон и др.; инсектициды; 2,4,6-триазидо-1,3,5-триазин -циа-нуртриазид - инициирующее ВВ.
1,2,4,-Триазин и его производные. Незамещенный 1,2,4-триазин -бледно-желтое масло, т.пл. 16-17,5°С, т. кип. 156°С/740мм рт.ст.,
1,5149; раств. в орг. р-рителях и разбавленных к-тах, плохо-в воде. Производные 1,2,4-триазина термически стабильны; при окислении надкислотами превращаются в 1,2,4-триазин-5-оны или 1,2,4-триазин-5,6-дионы (если положение 5 занято-в l-N-оксиды); при восстановлении Zn в СН3СООН-в 1,2-дигидро-1,2,4-триазин и далее (с сужением цикла)-в индазолы. Легко вступают в диеновый синтез, присоединяя диенофилы обычно по положениям 3 и 6 (иногда 2 и 5), напр.:

Осн. способы получения 1,2,4-триазина и его производных-конденсация a-дикетонов с амидразонами, семикарбазида-ми, тиосемикарбазидами, аминогуанидинами или гидрази-дами к-т (при замыкании цикла аммиаком), напр.:

Наряду с a-дикетонами для подобных синтезов используют также a-кетокислоты, a-галогенкетоны, ацилциа-ниды.
Производные 1,2,4-триазина-гербициды (напр., метрибузин, ме-тамитрон), противобактериальные ср-ва, соед. с противоопухолевой активностью (1,2,4-триазин-3,5-дион, 6-метил-1,2,4-триазин-3,5-дион и их нуклеозиды); 3- и 5-замещен-ные- реагенты для аналит. определения Fe, Co, Ni, Zn, Cr и др. металлов.

1,2,3-Триазин и его производные. Незамещенный 1,2,3-триазин -бесцв. кристаллы, т.пл. 69,5-71 °С, возгоняется в вакууме. 1,2,3-Триазин и его производные при комнатной т-ре устойчивы к воде, к-там и основаниям. При нагр. гидролизуются до 1,3-дике-тонов; надкислотами окисляются в 1(или 3)-N-оксиды; LiAlH4 восстанавливает их в дигидропроизводные. Три-алкилзамещенные 1,2,3-триазина при термолизе и фотолизе чаще всего расщепляются с образованием N2, алкина и нитрила. Получают 1,2,3-триазин и его производные окислением N-ами-нопиразолов пероксидами или термич. перегруппировкой циклопропенилазидов в мягких условиях:

Бензо-1,2,3-триазин и его производные получают циклизацией 2-аминобензиламинов, 2-аминобензамидов или 2-амино-бензгидразидов под действием HNО2, а также окислением N-аминоиндазолов или N-амино-2-хиназолинонов:

Нек-рые производные 1,2,3-триазина-ингибиторы коррозии, инсектициды.
Лит.: Общая органическая химия, пер. с англ., т. 8, М., 1985, с. 185-94; Мельников Н. Н., Пестициды. Химия, технология и применение, М., 1987, с. 639-61; Neunhoeffer H., WileyP.F., Chemistry of 1,2,3-triazines and 1,2,4-tria-zines, tetrazines and pentazines, N. Y., 1978; Comprehensive heterocyclic chemistry, ed. by A. Katritzky, Ch.W. Ress, v. 3, pt 2B, Oxf., 1984, p. 369-530; Hearn M.J., Levy F., "Organic preparations and procedures int.", 1984, v. 16, № 3-4, p. 199-277. Г.С. Швиндлерман.