Уксусный альдегид, ацетальдегид, или этаналь
Уксусный альдегид СН3—СНО — чрезвычайно летучая жидкость с сильным запахом. Вдыхание его паров вызывает скоропроходящее удушье.
Уксусный альдегид может быть получен любыми общими методами получения альдегидов. В промышленности его получают гидратацией ацетилена под каталитическим воздействием солей окиси ртути, окислением этилового спирта, прямым окислением парафиновых углеводородов, а в последнее время также окислением этилена в присутствии солей палладия.
Под влиянием даже одной капли кислоты уксусный альдегид легко полимеризуется в паральдегид — жидкость, кипящую при 124° С, при охлаждении застывающую в кристаллы с т. пл. 12° С. Полимеризация уксусного альдегида при низких температурах приводит к образованию кристаллического метальдегида. Оба вещества не дают характерных для альдегидов реакций.
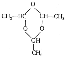
Паральдегид имеет молекулярный вес, отвечающий формуле (С2Н4О)3; строение его выражается формулой

Метальдегид, по-видимому, представляет собой продукт полимеризации четырех молекул ацетальдегида (С2Н4О)4. Он кристаллизуется в иглах или призмах, при нагревании не плавящихся, но возгоняющихся с частичной деполимеризацией в уксусный альдегид.
При нагревании обоих полимеров с каплей серной кислоты происходит полная деполимеризация в ацетальдегид.
Паральдегид обладает наркотическим действием. Метальдегид находит применение в качестве горючего в быту под названием «твердого спирта».
При каталитическом действии «конденсирующих средств», например хлористого цинка, соляной кислоты и пр., происходит конденсация уксусного альдегида в альдоль или кротоновый альдегид; при каталитическом действии алкоголята аммония из ацетальдегида получается уксусноэтиловый эфир.
Окисление уксусного альдегида является важным промышленным способом производства уксусной кислоты.