Изопреновые каучуки
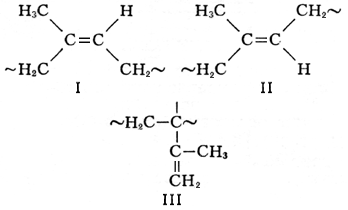
Изопреновые каучуки, синтетические каучуки, продукты полимеризации изопрена. Синтез изопреновых каучуков в присутствии катализаторов стереоспецифической полимеризации (см. Полимеризация) приводит к образованию стереорегулярных полимеров, аналогичных по структуре натуральному каучуку. Катализаторами при получении изопреновых каучуков служат комплексные соединения типа AlR3+TiX4, где R — алкил, Х — галоген (так называемые координационно-ионные катализаторы Циглера — Натты), литийорганические соединения, например литийалкилы, или металлический литий. Макромолекулы изопреновых каучуков характеризуются высоким (65—99%) содержанием звеньев структуры 1,4-цис (I); они содержат также звенья 1,4-транс (II) и звенья 3,4 (III). Изопреновые каучуки с наибольшим содержанием звеньев 1,4-цис (92—99%) получают при их синтезе на комплексных катализаторах.

Плотность изопреновых каучуков 0,910—0,920 г/см3, температура стеклования около — 70 °С. Каучуки растворимы в четырёххлористом углероде, хлороформе, монохлорбензоле, толуоле; нерастворимы в спиртах, кетонах. Набухание изопреновых каучуков в ароматических маслах достигает 500%. Изопреновые каучуки не стойки к действию концентрированных кислот, щелочей, стойки к действию воды. Высокое содержание в макромолекулах изопреновых каучуков ненасыщенных связей обусловливает низкую стойкость каучуков к окислению. Подобно натуральному каучуку, изопреновые каучуки склонны к кристаллизации при растяжении (выше 0 °С) или без растяжения (ниже 0 °С).
Основной вулканизующий агент для изопреновых каучуков — сера; наиболее распространённые ускорители вулканизации — производные тиазолов (в том числе и сульфенамидные), тиурамдисульфиды и др. Ненаполненные и саженаполненные вулканизаты изопреновых каучуков равноценны по основным свойствам вулканизатам каучука натурального.
Изопреновые каучуки, в особенности получаемые на комплексных катализаторах, применяют вместо натурального каучука в производстве шин, транспортёрных лент, изделий народного потребления, медицинского назначения и др. Производство изопреновых каучуков было впервые организовано в США в 1958; в СССР — в 1964. К 1967 СССР стал крупнейшим производителем этих каучуков. Торговые марки изопреновых каучуков: отечественный — СКИ-3, зарубежные — IR-307, IR-310, америпол SN, натсин и др. Мощности производства изопреновых каучуков в капиталистических странах в 1971 составляли около 350 тыс. т.
Лит. см. при ст. Каучуки синтетические.