Глиоксаль

ГЛИОКСАЛЬ (этандиал, диформиль, щавелевый альдегид) О=СНСН=О, мол. м. 58,04; желтые кристаллы с запахом формалина; т. пл. 15°С, т. кип. 51 °С; d420 1,14, пD20 1,3826; раств. в орг. р-рителях и воде, образует гидрат (НО)2СНСН(ОН)2. В присут. следов влаги жидкий глиоксаль превращ. в твердый полимер, к-рый разлагается до мономера при перегонке над Р2О5.

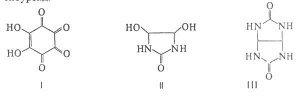
Глиоксаль окисляется воздухом в присут. К2СО3 в родизоновую к-ту (ф-ла I), Н2О2 и кислым р-ром КМnО4 - в муравьиную к-ту, щелочным-в щавелевую. При каталитич. восстановлении над Pd/C при 60 °С образует этиленгликоль. Со спиртами в присутствии минеральных кислот дает моно-и диацетали, с мочевиной при комнатной температуре -4,5-дигидроксиимидазолидон (ф-ла II) и глиоксальуреид (ф-ла III), с тиомочевиной в разбавленных НС1-глиоксальтиоуреид.
1115-1.jpg

При взаимод. с водным р-ром аммиака и СН2О образует имидазол, с ароматич. 1,2-диаминами-производные пиразина. При кипячении со щелочами превращ. в гликолевую и щавелевую к-ты.

Глиоксаль получают: из этиленгликоля - окислением в паровой фазе или дегидрогенизацией над медным катализатором; из тетрахлорэтана и H2SO4 - через глиоксальсульфат с послед. гидролизом; из ацетальдегида или паральдегида -окислением HNO3 на угле или силикагеле при 15-25°С; кипячением паральдегида с SeO2 в диоксане в присут. 50%-ной СН3СООН.

Глиоксаль-текстильно-вспомогательное вещество, придающее несминаемость хлопчато-бумажным и вискозным материалам; гидрофобизирующий компонент составов для пропитки бумаги и кожи. Глиоксаль и глиоксальсульфат используются для получения кубовых красителей. Глиоксаль раздражает кожу.

Литература

Синтезы органических препаратов, пер. с англ., т. 3, М., 1952, с. 106-108; Kirk-Othmer encyclopedia, 3 ed., v. 11, N.Y., 1978, p. 946; Chemistry of carbon compounds, ed. by E. Rodd, v. I, pt a, Amst., 1952, p. 715. И. В. Хвостов.

Синонимы/примеры:* Глиоксалевая кислота; Оксоэтаналь; Диформил; Диальдегид этановой кислоты
*подобраны ИИ, возможны неточности