Селективные ионообменные смолы
СЕЛЕКТИВНЫЕ ИОНООБМЕННЫЕ СМОЛЫ (комплек-сообразующие ионообменные смолы), ионообменные смолы, содержащие группы, способные образовывать координац. связи с поглощаемыми из р-ров ионами или молекулами. Отличаются высокой селективностью, определяемой сродством комплексообразующей группы (лиганда) к сорбируемым ионам и структурой полимера (св-ва полимерного каркаса, пористость, пространственное расположение групп). Наиб. селективны ионообменные смолы, образующие с катионами металлов устойчивые внутрикомплексные соед.-хе-латы.
Сравнение селективности селективных ионообменных смол осуществляют по коэф. распределения k = ссм/ср, где ссм и ср - концентрация в-ва в смоле и исходном р-ре; при этом большое значение имеют сольватац. характеристики сорбируемых ионов и их концентрация. Ряды селективности селективных ионообменных смол для разл. ионов существенно отличаются от рядов селективности др. ионообменных смол.
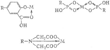
Наиб. активные лиганды-карбоксильные, фосфонатные, иминодиацетатные, глиоксиматные, тиомочевинные, пири-динсодержащие группы, образующие, напр., след. комплексные соединения (М-металл):

Селективные ионообменные смолы получают гл. обр. поликонденсацией и полимеризацией, а также методом полимераналогичных превращений, чаще всего путем хлорметшшрования полимерной матрицы с послед. введением комплексообразующих групп. Наиб. применение находят поликонденсац. амино-альдегид-ные (меламино-формальдегидные), мочевино-формальде-гидные, феколо-формальдегидные и резорцино-формаль-дегидные смолы, а также полимеризационные селективные ионообменные смолы на основе сополимеров стирола или аминостирола с диви-нилбензолом, тройного сополимера стирола, малеинового ангидрида и дивинилбензола, полиэпихлоргидрина.
Осн. применение селективных ионообменных смол -извлечение металлов (гл. обр. тяжелых) из р-ров пром. сточных вод. В извлечении Сr наиб. селективны сополимеры эпихлоргидрина с пиридином, Со и Ni-смолы на основе полиаминов, Сr, Zn и Ti-амино-фосфоновые смолы на основе эфиров фосфорной к-ты, аминов и формальдегида. Аминокарбоновые смолы на основе стирола обладают наиб. селективностью гл. обр. к металлам II группы; порядок селективности:
Sr2+ < Ва2+ < Са2+ < Mg2+ < Со2+ < Zn2+ < Cd2+ < Ni2+ < Рb2+ <
< Cu2+ < Hg2+.
Др. области применения селективных ионообменных смол -анализ и концентрирование микроэлементов из р-ров. Комплексы селективных ионообменных смол с металлами-катализаторы гидрирования непредельных соед., кетонов и спиртов, изомеризации, полимеризации, гидроформилирования и др.
Лит.: Херинг Р., Хелатообразующие ионообменники, пер. с нем., М., 1971; Энциклопедия полимеров, т. 3, М., 1977, с. 1081-87; Салдадзе К. М., Копылова В. Д., Комплексообразующие иониты (комплекснты), М., 1980; Копылова В. Д., Астанина А. Н., Ионитные комплексы в катализе, М., 1987. , Г. К. Салдадзе.