Трансаннулярные реакции
ТРАНСАННУЛЯРНЫЕ РЕАКЦИИ (от лат. trans-через, за пределами и annulus-колечко), осуществляются между несвязанными между собой атомами средних циклов (С8-С11), находящимися на противоположных сторонах кольца, но сближенными в пространстве. Обусловлены характерными для средних циклов конформациями, в к-рых нек-рые связи углеродных атомов направлены внутрь кольца (интрааннулярные связи). Трансаннулярные реакции сопровождаются перескоком пространственно сближенного атома H к положительно заряженному атому С (гидридный переход). Такой переход проявляется, напр., при сольволизе и дегидратации меченого 14С-циклооктанолтозилата, когда меченый атом оказывается в положениях 5, 6 или 7 (Ts = n-CH3C6H4SO2). При этом двойная связь возникает не только у того атома С, где был заместитель, но и на противоположной стороне цикла:

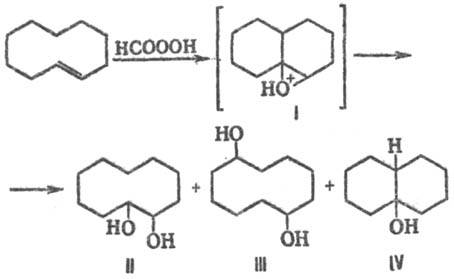
Трансаннулярные реакции наблюдаются также при окислении среднециклич. олефинов, напр. транс-циклодецена надмуравьиной к-той; в результате гидридного перехода интрааннулярных атомов H к карбкатионному центру в промежуточном катионе I кроме "нормального" продукта II образуются трансанну-лярные продукты III и IV:
'
Другой тип трансаннулярных реакций-циклизация циклополиенов (интрамол. диеновый синтез). Так, циклооктатриен и его аналоги находятся в таутомерном равновесии с соответствующим бициклич. соединением.

Это редкий вид таутомерии, при к-рой происходит лишь перераспределение электронной плотности без переноса к.-л. атомов.
Трансаннулярные реакции стереоспецифичны: если в качестве исходного в-ва взят определенный пространств. изомер, то продуктом р-ции, как правило, будет также изомер определенного пространств. строения.
В "ряде среднециклич. соед. между группами, противостоящими друг другу, отмечены трансаннулярные взаимодействия, способные значительно понижать конфор-мац. подвижность циклоалканов в осн. благодаря затруднениям, создаваемым для псевдовращений молекулы. Напр., величины инверсионных барьеров (DG.) для 1,1-диметил-циклононана на 12,5 кДж/моль больше, чем для незамещ. циклононана, а для 1,1,4,4-тетраметилпроизводного, в молекуле к-рого взаимодействующие группы СН3 расположены напротив друг друга, DG. возрастает более чем в 3 раза:

Трансаннулярное взаимодействие объясняется образование соед. VI при попытке получения аммониевой соли из аминокетона V, при этом протон атакует не атом азота, а карбонильную группу; в результате образования мостика между двумя кольцами уменьшается энергия напряжения молекулы. Подобным образом амин VII легко превращается в бициклич. енамин VIII:

При электроф. присоединении брома к (1Z, 5Z)-циклоно-надиену IX благодаря трансаннулярному участию пространственно сближенной второй двойной связи образуется аддукт X.

Для нек-рых циклич. аминокетонов, содержащих ацило-иновую группировку, трансаннулярное взаимодействие карбонильной и аминогрупп проявляется в понижении основности амина и смещении частоты группы СО в ИК спектре. Проявления трансаннулярных взаимодействий обнаруживаются также в соед. циклогексанового (взаимод. заместителей в положениях 1 и 4), гетероциклич. рядов и др.
Г. В. Гришина,