Биофлавоноиды

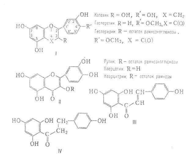
БИОФЛАВОНОИДЫ (витамин Р), группа в-в, обладающих капилляроукрепляющим действием. Важнейшие из них относятся к флаванолам (ф-ла I), флавонолам (II), а также к производным халкона (напр., III) и дегидрохалкона (напр., IV). К флаванолам, кроме в-в, приведенных при ф-ле, относится также эпикатехин - диастереомер катехина.

Биофлавоноиды - кристаллы желтого, желто-зеленого или оранжевого цвета. Большинство хорошо раств. в воде, не раств. в этиловом эфире, хлороформе и бензоле. Рутин (т. пл. 180-190°С) и кверцетин (т. пл. 316-317°С) практически не раств. в холодной воде, трудно раств. в кипящей воде и спиртах, раств. в разб. водных р-рах щелочей. Биофлавоноиды дают темное окрашивание с 1%-ным р-ром FeCl3 в этаноле. Качеств. р-ции: на катехины - ярко-малиновое окрашивание при добавлении в 1%-ный р-р ванилина в конц. соляной к-те; на гесперидии-по оранжево-красному окрашиванию при восстановлении с помощью Mg в соляной к-те; на флавонолы - увеличение интенсивности желтой окраски при добавлении водного р-ра гидроксидов щелочных металлов или NH4OH.
1056-11.jpg

Биофлавоноиды - продукты жизнедеятельности растений. Особенно богаты ими листья чая, цветы и листья гречихи, софоры японской, плоды цитрусовых, шиповника и черноплодной рябины (эти растения служат сырьем для произ-ва мед. препаратов). Значительные кол-ва биофлавоноидов содержатся также в красном перце, черной смородине, землянике, малине, вишне, облепихе, нек-рых сортах яблок, слив и винограда. Многие биофлавоноиды - пигменты, придающие окраску цветам и плодам растений.

Предполагают, что биол. активность биофлавоноидов обусловлена их способностью тормозить окисление аскорбиновой к-ты, катализируемое ионами тяжелых металлов, с к-рыми биофлавоноиды образуют хелаты. Считают также, что биофлавоноиды способны тормозить перекисное расщепление липидов. В связи с отсутствием доказательств, что биофлавоноиды необходимы для нормальной жизнедеятельности организма, их иногда не относят к витаминам.

Наряду с капилляроукрепляющим действием нек-рые биофлавоноиды оказывают спазмолитич. действие на гладкую мускулатуру, влияют на секреторную активность желудка и печени, обладают противовоспалит. действием. Биофлавоноиды не проявляют кумулятивного или токсич. действия. Большие дозы обычно не вызывают к.-л. отрицат. явлений, кроме временного снижения кровяного давления. Препараты биофлавоноидов (напр., кверцетин и рутин) применяют при геморрагич. диатезах, капилляротоксикозах, язвенной болезни (в составе викалина), для предупреждения и лечения кровоизлияний при гипертонич. болезни и атеросклерозе, а также при лучевой болезни. Потребность человека в биофлавоноидах точно не установлена (предположительно - 50-100 мг/сут).

Литература

Запрометов М. Н., Основы биохимии фенольных соединений, М, 1974. В. Б. Спиричев.

Синонимы/примеры:* Рутин; Кверцетин; Гесперидин; Дигидрокверцетин
*подобраны ИИ, возможны неточности
Ещё по теме
Флавоноиды — свойства, функции и применение в природе и промышленности
Рибофлавин — свойства и биологическая роль витамина В2
Витамин Р — что это и зачем он нужен?
Рибофлавин — всё о витамине В2
Рибофлавин — всё о витамине В2
Рибофлавин — роль и источники витамина В2
Конвафлавин — свойства и применение
Рибофлавин — всё, что нужно знать
Флавинат для инъекций — показания и применение
Флавоноиды — что это и где их найти?
Флавинат — свойства и применение кофермента
Флавопротеины и их роль в клетке
Витамины группы К — роль в организме и источники
Флакумин — природное желчегонное средство
Водорастворимые витамины — роль и значение
Флавон и его производные — свойства и применение
Водорастворимые витамины — строение и роль в организме
Пуриновые алкалоиды — свойства и применение
Рибофлавина мононуклеотид — свойства и применение