Хелаты
ХЕЛАТЫ (от греч. chele - клешня) (клешневидные соед., хе-латные соед.), координационные соединения, в к-рых центр, атом (или ион) связан одновременно с двумя или более донор-ными атомами лиганда, в результате чего замыкается один или неск. гетероциклов. Лиганды, образующие хелатные циклы, наз. хелатирующими (хелатообразую-щим и) реагентам и, они должны быть по крайней мере бидентатными. Замыкание хелатного цикла такими лиганда-миназ. хелатированиемили хелатообразовани-ем.
Наиб. обширный и важный класс хелатов- хелатные комплексы металлов (металлохелаты). Способность координировать лиганды присуща металлам всех степеней окисления. Элементы осн. подгрупп в качестве центр. атомов-комплек-сообразователей обычно выступают лишь в высших степенях окисления.
Хелатирующие реагенты содержат два осн. типа электро-нодонорных центров: А - группы, содержащие подвижный протон, напр. — COOH, — ОН, — SO3H, при их координации к центр, иону возможно замещение протона; Б - нейтральные электронодонорные группы, напр. R2CO, R3PO, R3N.
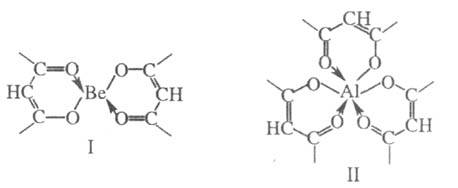
Хелаты, в к-рых при замыкании хелатного цикла лиганд использует протон-содержащую и нейтральную электронодонорные группы и формально связан с центральным атомом ковален-тной и донорно-акцепторной связью, наз. внутрикомп-лексными соединениями (внутренние комплексные соли), напр, ацетилацетонаты ф-л I и II.

Бидентатные лиганды занимают во внутр. сфере хелатов два координац. места, как, напр., в соед. I и II. Примеры др. бидентатных лигандов: этиленгликоль (ф-ла III; два центра типа A)1 диоксид метилендифосфина (IV; два центра типа Б), a-пиколиновая к-та (IV; центры типа А и Б).

Тридентатный лиганд, напр. триаминопропан, может занимать во внутр. сфере как три (соед. VI), так и два (соед. VII) координационных места или даже координироваться моно-дентатно.

Аналогично тетра-, пента- .и гексадентатные лиганды в зависимости от условий проявляют разную дентатность. Напр., гексадентатный лиганд ЭДТА (этилендиаминтетраук-сусная к-та) по отношению к иону Ca2+ является тетрадентатным, при этом м. б. выделена динатриевая соль VIII. К хелатам с полидентатными лигандами относятся комплексы краун-эфи-ров и криптандов.

Стабильность хелатов обычно выше по сравнению с аналогами, образованными монодентатными лигандами (т. наз. хелатный эффект). В общем виде константа образования циклич. комплекса MAA (M - металл; AA - бидентатный лиганд) намного больше, чем константа образования MA2' (A' - монодентатный лиганд, близкий по характеру к лиганду AA). Хелатный эффект оценивают по разности между логарифмами констант устойчивости MAA и MA2'.
Наряду с общими факторами, определяющими устойчивость координац. соед., такими, как природа центр. иона и координированных донорных атомов лиганда, в случае хелатов важную роль играют число атомов в образующемся цикле и наличие кратных связей в мостике между донорными атомами хелатного лиганда.
Хелаты чаще всего имеют тетраэдрич. и октаэдрич. конфигурации; в случае отсутствия кратных связей в мостике наиб, устойчивы 5- и 6-членные циклы (правило циклов Чугаева). Диоксид метил ендифосфина образует устойчивый 6-членный цикл ф-лы IX. С увеличением длины углеводородного мостика при переходе к диоксиду этилендифосфи-на последний выступает в роли мостиковой группы (ф-ла X) и хелатный цикл не образуется. Наличие кратной связи в диоксиде цис-винилендифосфина приводит к устойчивости семичленного цикла XI.

4-членные циклы при тетраэдрич. и октаэдрич. координации центр, иона являются более напряженными и менее прочными. 3-членные хелатные циклы известны для перок-сид-аниона, когда последний занимает два координационных места в экваториальной плоскости пентагональной бипирамиды (ф-ла ХП).

Выделение хелатов в самостоятельный тип координац. соед. связано с уникальностью их физ., хим. и биол. св-в, обусловленных наличием хелатного цикла. Ацетилацетонаты вследствие их летучести применяют для разделения и очистки металлов и нанесения металлич. покрытий (см. b-Дикетонаты металлов). Комплексы ЭДТА из-за их высокой р-римости используют для уменьшения жесткости воды, снятия накипи и очистки металлич. пов-стей. Яркость цвета, термостойкость, прочность окраски и устойчивость к действию оснований и к-т обусловливают использование фталоцианиновых комплексов в качестве красителей. Цветность ряда хелатов и зависимость интенсивности окраски р-ра от концентрации иона металла нашли применение в аналит. химии (см. Комплексо-нометрия, Комплексоны). Р-римость хелатов в орг. р-рителях используют для экстракционного разделения элементов.
Хелаты играют важную роль в процессах жизнедеятельности, напр., гемоглобин, хлорофилл и витамин B12 являются хелатными комплексами Fe2+-, Mg2+-, Со2+-оснований порфирино-вого ряда. Хелаты (напр., соед. VI) используют для вывода ядовитых и радиоактивных металлов из организма и растворения камней (напр., почечных), возникающих при нарушении обмена веществ.
Термин "хелат" ввел M. Дрю в 1920.
Лит.: Гринберг А.А., Введение в химию комплексных соединений, 3 изд., M., 1966; БасолоФ., Джонсон Р., Химия координационных соединений, пер. с англ., M., 1966; Басоло Ф., Пирсон Р., Механизмы неорганических реакций, пер. с англ., M., 1971; Кукушкин Ю.H., Химия координационных соединений, M., 1985. E. Г. Ильин.