Борогидриды металлов

БОРОГИДРИДЫ МЕТАЛЛОВ (боранаты, тетрагидридобораты, тетрагидробораты), комплексные соед., содержащие группу [ВН4]. Последняя имеет тетраэдрич. конфигурацию, межатомные расстояния В—Н равны 0,12-0,13 нм. В зависимости от природы связи группы [ВН4] с металлом М различают ионные борогидриды металлов (М - щелочной или щел.-зем. металл) и ковалентные (М - Be, A1 или переходный металл). Ионные борогидриды металлов-бесцв. кристаллы (табл. 1). Раств. в воде, жидком NH3, аминах и нек-рых др. полярных р-рителях (табл. 2), особенно хорошо - в эфирах этиленгликолей (диглиме, триглиме, тетраглиме). В р-рах образуют сольваты, напр. Li[BH4]*O(C2H5)2, Na[BH4]*nHCON(CH3)2 (n = 1, 2, 4). Число связанных молекул р-рителя редко превышает 4. Большинство молекул сольватов довольно прочно, и их разложение требует жестких условий (нагревание, вакуум).

Табл. 1. - СВОЙСТВА ВОРОГИДРИДОВ МЕТАЛЛОВ
1060-1.jpg

Табл. 2. - РАСТВОРИМОСТЬ БОРОГИДРИДОВ МЕТАЛЛОВ (в воде-% по массе, в остальных растворителях - г в 100 г)
1060-2.jpg

Молекулы р-рителя могут присоединяться как к катиону, так и к [ВН4]- благодаря водородным связям.

В водном р-ре ионные борогидриды металлов постепенно гидролизуются, выделяя Н2 (особенно быстро, когда М - щел.-зем. металл); в спиртовых р-рах реагируют со спиртами, образуя М [B(OR)4] и Н2. Эти р-ции можно существенно замедлить введением в р-р щелочи. Ионные борогидриды металлов гигроскопичны, медленно окисляются во влажном воздухе (кроме К [ВН4]). Обладают сильным восстанавливающим действием. Атомы водорода в [ВН4]- м. б. замещены группами Alk, Аг, AlkO, ОН, NH2, атомами галогенов и др. К [ВН4]-могут присоединяться группы ВНx, при этом образуются, напр., М[В3Н8], M[B2H7], к-рые также относят к борогидридам металлов См. также Натрия борогидрид.

Ковалентные борогидриды металлов - кристаллы или жидкости. Молекулы содержат трехцентровые двухэлектронные мостиковые связи В—Н—М. Большинство из этих борогидридов металлов существует только при низких т-рах или в виде сольватов. Легко окисляются на воздухе (многие склонны к самовоспламенению), бурно реагируют с водой и к-тами с выделением Н2. Обладают сильным восстанавливающим действием. Раств. в жидком NH3 и полярных орг. р-рителях, причем р-римость в орг. р-рителях растет с увеличением ковалентности связи М—[ВН4]. Борогидриды переходных металлов и А1 образуют с борогидридами щелочных и щел.-зем. металлов двойные борогидриды, напр. М [Zn (BH4)3], M2[Ti(BH4)6], M[A1(BH4)4]. Борогидриды металлов получают:

1) взаимод. В2Н6 с гидридами, амидами, гидроксидами, алкоголятами металлов, а также с металлоорг. соед., напр.:
1060-3.jpg

2) р-цией гидридов металлов с ВНа13, эфирами Н3ВО3, В2О3, мета- и тетраборатами щелочных металлов, с аминоборанами, напр.:
1060-4.jpg

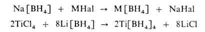
3) обменной р-цией борогидрида Na или Li с гидроксидами, галогенидами и алкоголятами др. металлов в среде сольватирующего р-рителя, напр..
1060-5.jpg

Последний метод Наиб. удобен для получения борогидриды переходных металлов. Борогидриды металлов определяют, измеряя объем выделяющегося Н2 при их разложении разб. соляной к-той. Известны методы определения с использованием окислителей КIO3 и NaCIO, а также аргентометрический. Качеств, обнаружение [ВН4]- основано на восстановлении солей нек-рых переходных металлов (Ni, Ag и др.).

Борогидриды металлов применяют для селективного восстановления групп С=О, NO2 и C=N в орг. синтезе (напр., при пром. синтезе антибиотиков, витаминов, стероидных препаратов); для восстановления солей при получении металлич. высокодисперсных катализаторов, металлич. покрытий на металлах и керамике, а также гидридов Ge, Sn, As, Sb, используемых в произ-ве полупроводниковых материалов; в кач-ве восстановителей в аналит. химии; для синтеза борорг. соед., боразола, боридов, В2Н6 и др. Борогидриды металлов - удобно транспортируемые источники водорода.

Работа с борогидридами металлов проводится в условиях, предотвращающих их контакт с О2 и влагой воздуха (в сухой камере, в атмосфере инертного газа), а также с такими в-вами, как А1С13, ВНа13. Последние образуют с борогидридами металлов легковоспламеняющиеся и токсичные соединения.

Литература

Жигач А.Ф., Стасиневич Д.С., Химия гидридов, Л., 1969; Хайош А., Комплексные гидриды в органической химии, пер. с нем.. Л., 1971. Н. Т. Кузнецов.

Синонимы/примеры:* Борогидрид натрия; Борогидрид калия; Борогидрид лития; Тетрагидроборат натрия; Тетрагидроборат калия; Тетрагидроборат лития
*подобраны ИИ, возможны неточности