Гофмана-Лёфлера реакция

ГОФМАНА - ЛЁФЛЕРА РЕАКЦИЯ (перегруппировка Гофмана - Лёфлера, р-ция Гофмана- Л ёфлера - Фрайтага), циклизация N-галогенаминов в замещенные пирролидины при нагр. в сильной к-те с послед. действием щелочи на промежуточно образующиеся1119-2.jpgгалогенамины, напр.:
1119-3.jpg

где Hal = С1, Вг. Процесс обычно проводят при т-ре 90-140 °С в H2SO4 или CF3COOH. Р-ция инициируется также облучением УФ-светом или ионами Fe2+ ; ингибируется кислородом. наиб. высокие выходы (до 80%) достигаются при использовании N-хлораминов. N-Галогенамиды в условиях Гофмана -Лёфлера реакции превращ. в пирролидины с потерей ацильной группы. Из N-хлор-L-1119-4.jpg-аминокислот получаются оптически чистые L-пролины.

Конкурирующий процесс в Гофмана -Лёфлера реакции-циклизация с участием1119-5.jpgуглеродного атома, приводящая к производным пиперидина, причем при благоприятных конформационных факторах такой путь может стать преобладающим. Это наблюдается, в частности, при образовании мостиковых соед., напр.:
1119-6.jpg

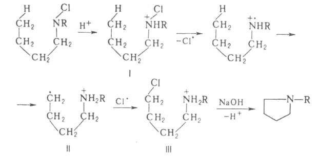
Механизм Гофмана -Лёфлера реакции включает гомолиз протонированного N-галогенамина (ф-ла I) и взаимод. соед. II с соед. I с образованием1119-7.jpgгалогенамина III:
1119-8.jpg

Гофмана -Лёфлера реакция применяется в синтезе бициклич. третичных аминов, нек-рых пирролидиповых и стсроидных алкалоидов.

Р-ция была впервые описана А. В. Гофманом на примере N-бромамидов в 1883. К. Лёфлер и С. Фрайтаг в 1909 использовали эту р-цию для синтеза никотина.

Литература

Вейганд К., Хильгетаг Г., Методы эксперимента в органической химии, пер. с нем., М.. 1968. с. 410; Общая органическая химия, пер. с англ., т. 3, М., 1982, с. 340-41., К. В. Вацуро.