Пирролидин
ПИРРОЛИДИН (тетрагидропиррол, тетраметиленимин), мол. м. 71,12; бесцв. жидкость с резким аммиачным запахом, дымит на воздухе; т. кип. 86,60C;
0,8586;
1,4426; хорошо раств. в воде и большинстве орг. р-ри-телей; сильное основание, рКа 11,27. С к-тами образует соли: гидрохлорид, т.пл. 206-2080C; пикрат, т.пл. 1130C.

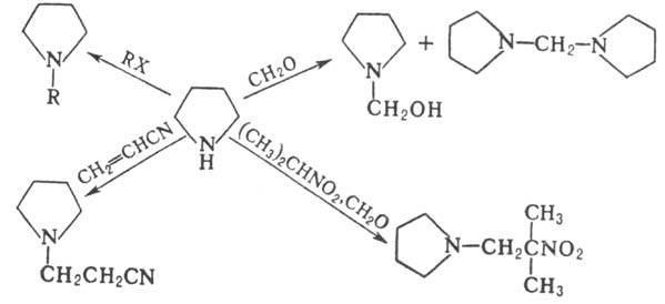
Пирролидин обладает св-вами вторичных аминов, напр. легко алкилируется в положение 1 при действии алкилгалогенидов и спиртов, взаимод. с акри-лонитрилом и формальдегидом, в качестве аминной компоненты вступает в р-цию Манниха:

При каталитич. дегидрировании пирролидин превращ. в пиррол, при окислении хромовой к-той-в g-аминомасляную к-ту.
Получают пирролидин каталитич. гидрированием пиррола или 3-пирролина, восстановлением сукцинимида, аммонолизом 1,4-дигалогенбутанов или тетрагидрофурана, пиролизом гидрохлорида 1,4-тетраметилендиамина (путресцина, ф-ла I) или циклизацией 1-амино-4-галогенбутанов под действием щелочи, напр.:

N-Алкилзамещенные пирролидина получают алкилированием пирролидина или циклизацией N-галогенопроизводных вторичных али-фатич. аминов по Гофмана-Лёфлера реакции.
В лаб. практике пирролидин применяют для синтеза енаминов, используемых в качестве промежут. соед. при a-алкилирова-нии и a-ацилировании кетонов по Сторку, напр.:

Кольцо пирролидина-структурный фрагмент мн. биологически активных соед., напр. никотина, алкалоидов группы тропана (атропина, кокаина, экгонина и др.), алкалоида гигрина; в небольших кол-вах пирролидин содержится в листьях табака и в опии. Важнейшие производные пирролидина-пролин, 2-пирролидон (см. Лактамы), 1-винил-2-пирролидон, сукцинимид.
Пирролидин возбуждает центр. нервную систему, снижает (при длит. воздействии) содержание гемоглобина в крови, усиливает диурез. ЛД50 0,3 г/кг (белые крысы, перорально); ПДК 0,1 мг/м3.
Пирролидин и его производные-сырье для синтеза нек-рых лек. ср-в.
Лит.: Гетероциклические соединения, под ред. P. Эльдерфилда, пер. с англ., т. 1, M., 1953, с. 219; Шмушкович Дж., в сб.: Успехи органической химии, пер. с англ., т. 4, M., 1966, с. 5-123; Schofield K., Hetero-aromatic nitrogen compound. Pyrroles and pyridines, L., 1967; Kovacic P., Lowerу M. K., Field K. W., "Chem. Rev.", 1970, v. 70, № 6, p. 639-65.
P. А. Караханов, В. И. Келарев.