Пикте-Шпенглера реакция
ПИКТЕ - ШПЕНГЛЕРА РЕАКЦИЯ, синтез 1,2,3,4-тетра-гидроизохинолинов конденсацией 2-арил(гетерил)этилами-нов с альдегидами, напр.:

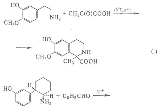
Р-цию обычно осуществляют в водных р-рах при 100 0C, нагревая компоненты с избытком соляной к-ты (реже используют серную, уксусную или муравьиную к-ту). В р-ции, как правило, используют формальдегид, ацетальдегид, замещенные бензальдегиды или 2-фенилацетальдегид (в нек-рых случаях, когда исходный альдегид неустойчив, вместо него применяют соответствующий ацеталь или эфир енола). В качестве аминной компоненты используют 2-гетерил- или 2-фенилэтиламины, незамещенные либо содержащие в цикле алкокси- или гидроксигруппы. Наличие алкоксигруппы облегчает циклизацию, к-рая направляется в пара-положение к активирующей группе. Фенольный гидроксил еще сильнее активирует бензольное кольцо, что позволяет проводить р-цию при 25-40 0C и рН 4-8 не только с альдегидами, но и с кетонами в т. ч. с a-оксокислотами (р-ция 1); при этом в ряде случаев циклизация осуществляется в пара-и. орто-положение к гидроксигруппе (2):


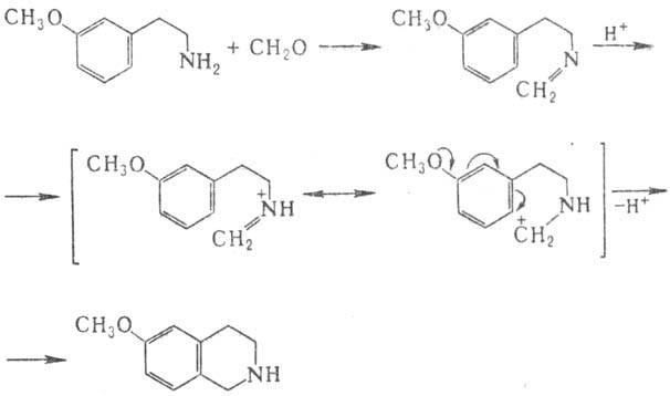
Пикте - Шпенглера реакция, по существу, является внутримол. р-цией Манниха и протекает по механизму электроф. замещения в ароматич. кольце. Образующееся из фенилэтиламина и карбонильной компоненты основание Шиффа, к-рое иногда можно выделить, циклизуется после протонирования в тстра-гидроизохинолин, причем электронодонорные заместители облегчают р-цию:

Модификация Пикте - Шпенглера реакции -циклизация N-сульфонилфенил-этиламинов в тетрагидроизохинолины в присут. кислых катализаторов:

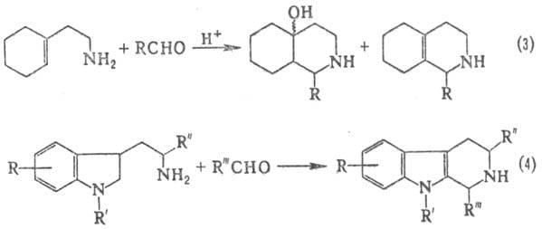
В условиях Пикте - Шпенглера реакции из 1-(2-аминоэтил)циклогексена образуется дека- и октагидроизохинолины (3), из триптамина или триптофана и их производных-разл. тетрагидрокарбо-лины (4), многие из к-рых образуются в мягких условиях с высоким выходом:

Сходные по механизму р-ции осуществляются с участием N-ацилиминиевых ионов (ф-ла I), к-рые генерируются из разл. предшественников. По сравнению с иминиевыми интермедиа-тами, образующимися в Пикте - Шпенглера реакции, ацилиминиевые ионы более электрофильны, что позволяет проводить р-ции с их участием в более мягких условиях. С помощью такого метода, родственного Пикте - Шпенглера реакции, синтезированы конденсир. гетероциклы (в т.ч. нек-рые лек. ср-ва и алкалоиды), включающие фрагмент тетрагидроизохинолина, напр.:


Пикте - Шпенглера реакция и родственные превращ. используют в синтезе изохинолиновых алкалоидов и др. разнообразных азотсодержащих гетероциклич. соединений. Р-ция открыта в 1911 А. Пикте и T. Шпенглером.
Лит.: Общая органическая химия, пер. с англ., т. 8, M., 1985, с. 260.-61; К a m е t а n i Т., F u k и m о t о К., в кн.: The chemistry of heterocyclic compounds, v. 38, N. Y., 1981, p. 139 274; Jones G., в кн.: Comprehensive heterocyclic chemistry, v. 2. (Isoquinolines, pt. 1). Oxf., 1984, p. 438; Speckamp W. N., Hiemstra H., "Tetrahedron", 1985, v. 41, № 20, p. 4367 -4416. Ю. С. Цизин.