Мезоионные соединения
МЕЗОИОННЫЕ СОЕДИНЕНИЯ, биполярные пяти- или шестичленные моно- или бициклич. азотсодержащие соед., имеющие в молекуле экзоциклические (внекольцевые) атомы N, О или S. В кольце наряду с одним, двумя или тремя атомами N могут находиться атомы С, S или О. Структуру мезоионных соединений нельзя удовлетворительно изобразить с помощью ковалентных или ионных формул. Их молекула содержит сопряженную систему связей, в к-рую входят связи экзо-циклич. группы и чередующиеся нецелочисленные заряды всех атомов цикла. В природе не встречаются. Впервые термин "мезоионные соединения" предложен в 1949 для пятичленных гетеро-циклов. Первые из них были названы по имени городов, где они впервые получены, напр., сидноны (ф-ла I; X = О) получены в г. Сидней.
Мезоионные соединения-термически устойчивые кристаллические соединения с т.пл. обычно > 100°С. Наиболее изучены сидноны и их азотистые аналоги-сиднонимины (ф-ла I; X = NR:).

Мезоионные соединения могут находиться в состоянии равновесия с линейной таутомерной формой (кольчатоцепная таутомерия), напр.:

Все мезоионные соединения-высокореакционноспособные соед., обладающие ароматич. св-вами. Для них характерны превращ. с сохранением или раскрытием цикла; при этом реакц. центрами м. б. все атомы.
Для мезоионных соединений, содержащих группу СН в цикле или группу NH в экзоположении, легко протекают р-ции электроф. замещения, идущие по положению 4. Для сиднонов сульфирование, нитрование, галогенирование и меркурирование протекает также достаточно легко, ацилирование идет труднее; слабые электроф. агенты (напр., соли диазония) в р-цию с сиднона-ми не вступают.
Под действием сильных к-т и оснований, при электрохим. восстановлении, каталитич. гидрировании, окислении, термолизе, облучении УФ светом происходит раскрытие цикла. Так, нагревание сиднонов со щелочами приводит к разрыву связи О—С цикла и образованию N-нитрозоглицинов, с к-тами-к образованию производных гидразина. Этот метод имеет препаративное значение для получения малодоступных алкилгидразинов. Кислотным расщеплением 3-фенил-изопропилсиднона получен гидрохлорид 3-фенилизопро-пилгидразина, обладающий антидепрессивными св-вами. С алкенами и алкинами сидноны и сиднонимины вступают в р-цию циклоприсоединения с послед. образованием пира-золов или пиразолинов, напр.:

Основные способы получения мезоионных соединений: 1) внутримолекулярная циклизация линейных соединений, содержащих на конце цепи карбоксильные или нитрильные группы, напр.:

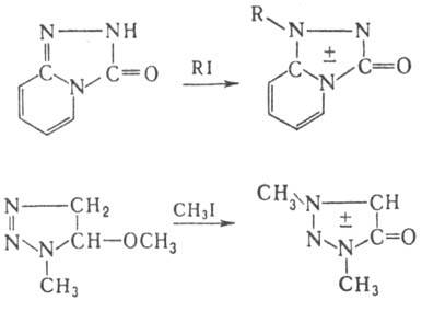
2) алкилирование гетероциклов, с помощью алкилиоди-дов, напр.:

3) УФ облучение нек-рых производных пиридина, напр.

Мн. производные сиднониминов обладают гипотензив-ным, противоопухолевым, противовоспалительным, психо-тропным и антибактериальным действием. Нек-рые из них, напр. сиднокарб, сиднофен, корватон, молсидомин,-лек. ср-ва.
Исп. литература для статьи «МЕЗОИОННЫЕ СОЕДИНЕНИЯ»: Яшунский В. Г., Холодов Л. Е., "Успехи химии", 1980, т. 49, в. 1, с. 54 91; Яшунский В. Г., Огородникова В. В., "Химия гетероциклических соединений", 1981, №3, с. 291 303; Nonbenzenoid aromatics, v. 1, ed. by J. P. Shyder, N.Y., 1969, p. 117; Ollis W. D., Rarasden С. А., в сб.: Advances in heterocyclic chemistry, v. 19, N.Y.-L., 1976, p. 3-122. В. Г. Яшунский.