N-Гликозиды
N-Гликозиды, называемые также гликозиламинами, представляют собой производные циклических форм сахаров, построенные аналогично обычным гликозидам, но гликозидная связь осуществляется в них не атомом кислорода, а атомом азота:

Впервые кристаллические N-гликозиды были получены Б. Сорокиным (1888) нагреванием анилина с глюкозой и фруктозой в спиртовом растворе.
Как и в обычных гликозидах (О-гликозидах), остаток сахара в N-гликозидах может существовать в α- и β-формах, может иметь шестичленное или пятичленное кольцо. Агликонами могут быть жирные или ароматические амины или же содержащие азот гетероциклические соединения. Многие N-гликозиды могут быть получены путем непосредственного взаимодействия сахара и амина в водной, спирто-водной или спиртовой среде при комнатной температуре.
Свойства N-гликозидов весьма различны в зависимости от природы входящих в них аглюконов. Так, например, подавляющее большинство N-гликозидов гидролизуется кислотами, причем многие — очень легко; некоторые же N-гликозиды, в частности пиримидин-N-гликозиды, настолько устойчивы к гидролизу, что иногда в условиях кислотного гидролиза остаток моносахарида разрушается раньше, чем расщепляется N-гликозидная связь. Весьма различна также стойкость N-гликозидов к щелочному гидролизу.
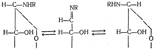
Многие N-гликозиды обладают мутаротацией. Причину этого нельзя считать окончательно выясненной. Возможно, что в водных растворах устанавливается равновесие между α- и β-формами N-гликозида и промежуточной ациклической формой:

Не исключено, однако, что причиной мутаротации является частичный гидролиз N-гликозида.
N-Гликозиды представляют весьма большой интерес. К группе N-гликозидов относятся нуклеозиды, некоторые коэнзимы, имеющие важное биологическое значение, витамины и др. N-Гликозиды алифатических аминов с длинной цепью (додецил- и октадециламина) находят применение в текстильной промышленности. Некоторые N-гликозиды ароматических аминов предложены в качестве антиоксидантов каучука. В последние годы синтезированы N-гликозиды аминосоединений, являющиеся лекарственными средствами.