Дибензофуран
ДИБЕНЗОФУРАН (дифениленоксид), мол. м. 168,2; бесцв. кристаллы; т. пл. 86-87 °С (пикрата - 84 °С), т. кип. 287 °С, 154-154,5 °С/20 мм рт. ст.; nD99 1,6079; раств. в этаноле, диэтиловом эфире, бензоле, умеренно - в горячей воде; перегоняется с водяным паром; m 10.10-30 Кл.м (при т. пл.).
Дибензофуран термически устойчив. При действии щелочей гетероцикл легко раскрывается с образованием производных дифенила: при нагр. с Na образуется 2-гидроксидифенил, с КОН - 2,2'-дигидроксидифенил (присутствие нитрогруппы облегчает расщепление гетероцикла). Расширение фуранового цикла с образованием 3,4-бензокумарина происходит при взаимод. дибензофурана с Li и СО2:
Дибензофуран обладает ароматич. св-вами. Электроф. замещение (сульфирование, галогенирование, алкилирование и ацилирование по Фриделю - Крафтсу, формилирование по Гаттерману, хлорметилирование) идет в положение 2; исключение - нитрование и металлирование, при к-рых замещение идет соотв. в положения 3 и 4. Атом Li м. б. введен в любое положение обменом галогена на металл. Электронодонорная группа направляет замещение в кольцо, в к-ром она находится, электроноакцепторная - в др. кольцо. Аминогруппа в дибензофуране легко замещается на атом галогена действием HNO2, HHal и CuHal (по Зандмейеру). Na в жидком
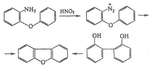
восстанавливает дибензофуран до 1,4-дигидродибензофурана. Над Pt дибензофуран гидрируется до тетрагидропроизводных, а над никелем Ренея - до гексагидро- и додекагидропроизводных. Дибензофуран синтезируют пиролизом фенола, дифенилового эфира или о-фенилфенола над оксидами металлов. Его получают также из o-аминодифенилового эфира и 2,2'-дигидроксидифенила:
Производные дибензофурана обычно получают введением заместителей в легко доступный дибензофуран. Фрагмент дибензофурана входит в молекулу морфина. Производные дибензофурана обладают анестезирующей, бактерицидной и противовирусной активностью.
Литература
Парам У., в кн.: Гетероциклические соединения, под ред. Р. Эльдерфильда, пер. с англ., т. 2, М., 1954, с. 96-111; Общая органическая химия, пер. с англ.. т. 9, М., 1985. с. 167-70. В.И. Шведов.
Синонимы/примеры:*
Дифениленоксид; ДБФ
*подобраны ИИ, возможны неточности
Ещё по теме
Тетрагидрофуран — свойства, реакции и применение
Дифениловый эфир — характеристики и применение
1,4-дифенилбензол — свойства и характеристики
Дифениловый эфир — характеристики и применение
Дифенил — характеристики и применение
Синтез 5-бензилфуран-2-карбоновой кислоты
Синтез и свойства 5-бензилфуран-2-карбоновой кислоты