Термодинамика иерархических систем
ТЕРМОДИНАМИКА ИЕРАРХИЧЕСКИХ СИСТЕМ, изучает сложные гетерог. хим. и биол. системы, прежде всего открытые системы, обменивающиеся со средой в-вом и энергией. В зависимости от целей и задач исследования протекающие в этих системах процессы могут рассматри-заться как неравновесные или как равновесные (квазиравновесные), а состояние системы-как нестационарное или как стационарное (квазистационарное). Подход термодинамики иерархических систем состоит в представлении подобной системы в виде совокупности соподчиненных подсистем, иерархически связанных расположением в пространстве (структурная или пространств. иерархия) и(или) временами установления равновесия при релаксации (временная иерархия).
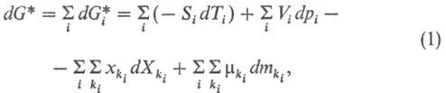
В каждый момент времени система (или одна из подсистем) м. б. охарактеризована средними удельными (по объему или по массе) ф-циями состояния, стремящимися к экстремуму при достижении равновесия (обладающими экстремальными св-вами). Изменение состояния системы (подсистемы) во времени (эволюция системы) исследуется по изменениям этих ф-ций. Используется гл. обр. ф-ция Гиббса (энергия Гиббса) G*(p, Т, Хi), где p -давление, Т-т-ра, Xi-обобщенная сила (любой интенсивный параметр состояния, за исключением давления); для сложной системы G* = U + pV— Xixi — TS, где U- внутр. энергия, V- объем, хi - обобщенная координата (любой экстенсивный параметр состояния, за исключением объема), S-энтропия; величины p, T и Xi являются естественными независимыми переменными ф-ции G*. Для открытой системы полный дифференциал dG* записывается в виде:

где индекс i обозначает протекающий в системе процесс взаимод. между компонентами (хим. взаимод., межмолекулярное, взаимод. надмолекулярных структур и т.п.), ki-компонент, участвующий в этом процессе,
-его масса,
-т. наз. эволюционный потенциал, в широком смысле-движущая сила процесса (см. ниже).
Т. обр., термодинамика иерархических систем распространяет подход Гиббса на сложные открытые гетерог. системы и позволяет практически в той же степени опираться на методы вариац. исчисления, что и классич. термодинамика; в принципе у открытых систем не существует термодинамич. ф-ций состояния, характеризующихся экстремальными св-вами. Для описания эволюции иерархич. систем и их подсистем используют методы макрокинетики.
Примером прир. иерархич. системы является биол. популяция pop (сообщество организмов), в к-рой можно выделить след. подсистемы: организмы org, клетки cel, надмолекулярные образования or, макромолекулы mm, молекулы m и т. д. Все эти подсистемы соподчиненно (иерархически) расположены в пространстве и обладают иерархией времен релаксации ti (характерных времен жизни), а именно эти времена, связанные сильными неравенствами и расположенные в порядке возрастания (или убывания), образуют иерархич. ряд:

Осн. понятие термодинамики иерархических систем -частная эволюция [г'-й процесс в ф-ле (1)], т.е. агрегация ki-х компонентов системы, участвующих в i-м процессе, на j-м уровне иерархии. В случае закрытой (простой) физ.-хим. системы агрегация структурных элементов-неравновесный самопроизвольный процесс, для к-рого убыль ф-ции Гиббса можно определить согласно второму началу термодинамики. Так, неравновесную кристаллизацию жидкости ниже т-ры плавления можно рассматривать как агрегацию зародышей кристаллизации (верх. иерархич. уровень) в объеме однородной жидкости (ниж. иерархич. уровень). Убыль ф-ции Гиббса системы можно вычислить по приближенному ур-нию Гиббса-Гельмгольца DG = DH(DТ/Тпл), где DH-изменение энтальпии системы при кристаллизации, DT= Тпл — Т> 0 (Тпл-т-ра плавления в-ва, Т-т-ра кристаллизации переохлажденного в-ва). Аналогично можно вычислить убыль ф-ции Гиббса для процессов агрегации структурных элементов при спирализации цепей ДНК, агрегации молекул белков или полисахаридов с образованием надмолекулярных структур, агрегации надмолекулярных образований, клеток и т.д. Сопоставляя, напр., изменения ф-ции Гиббса процессов образования разл. надмолекулярных структур DGim, можно судить о термодинамич. стабильности этих структур.
Установлено, что в ходе эволюции живых прир. систем на каждом иерархич. уровне повышается термодинамич. стабильность структурных элементов, составляющих данный уровень. Согласно принципу структурной стабилизации, i-й процесс, протекающий на 7-м структурном уровне, стабилизирует продукты (i-1)-го процесса предыдущего (j — 1)-го (более низкого) иерархич. уровня. Поскольку система является открытой, агрегация j-х структурных элементов накапливает наиб. стабильные (j + 1)-е структуры на данном иерархич. уровне. Напр., в нек-рых прир. системах накапливаются в-ва с повышенной (по абс. величине) ф-цией Гиббса DGim образования определенных надмолекулярных структур (этот эффект в нек-ром смысле аналогичен накоплению в хроматографич. колонке в-ва с повыш. энергией Гиббса адсорбции DGa вследствие того, что время удерживания этого в-ва tret зависит от DGim экспоненциально):

(R-газовая постоянная).
В термодинамике иерархических систем вводится представление об эволюц. потенциале
компонента ki, участвующего в i-м процессе на j-м иерархич. уровне. В общем случае
представляет собой изменение соответствующего термодинамич. потенциала при бесконечно малом изменении числа элементов ki-гo типа в частной эволюции (i-й процесс на j-м уровне). Так,
может быть определен через G*:

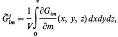
В этом смысле хим. потенциал компонента системы является частным случаем эволюц. потенциала. Эволюц. потенциал позволяет наиб. простым и универсальным способом определять условия равновесия внутри любой подсистемы. Термодинамика иерархических систем определяет направленность эволюц. процесса как процесса структурообразования (самосборки; см. Самоорганизация). Показано, что эволюция прир. систем обусловлена стремлением к экстремальным значениям уд. величин термодинамич. ф-ций (ф-ции Гиббса, ф-ции Гельмгольца и т. п.). Напр., при образовании надмолекулярной структуры на 7-м иерархич. уровне вследствие межмолекулярного взаимод. усредненная по объему ф-ция Гиббса биол. системы
стремится к минимуму. В этом случае
является интегральной величиной, характеризующей нестационарную открытую гетерог. систему:

где V- объем системы, т-масса, х, у, z-координаты. В результате взаимод. (агрегации) j-х надмолекулярных образований появляется новая структурно выделенная подсистема, обладающая большим характерным временем жизни, т.е. (j + 1)-й уровень иерархии. Вследствие обмена каждой из подсистем со средой система в целом накапливает наиб. стабильные структуры, т. е. структуры, обладающие повыш. ф-цией Гиббса образования (агрегации). Эти структуры преим. аккумулируют хим. соединение с повыш. ф-цией Гиббса образования (повыш. энергоемкостью). Т. обр., в процессе эволюции биол. система обогащается липидами, белками, полисахаридами и т. п. и обедняется водой, что проявляется в изменении ее брутто-состава. Вариации хим. состава живых организмов в онтогенезе и филогенезе имеют термодинамич. природу.
Термодинамика иерархических систем позволяет анализировать поведение физ.-хим., эко-логич. систем, передачу биол. признаков по наследству.
Основы термодинамики иерархических систем сформулированы в 80-х гг. 20 в.
Лит.: Гладышев Г. П., Термодинамика и макрокинетика природных иерархических процессов, М., 1988; Васнецова А. Л., Гладышев Г. П., Экологическая биофизическая химия, М., 1989; Gladyshev G. P., "Journal of Biological Systems", 1993, v. 1, № 2. G. П. Гладышев.