Фолина реакция
ФОЛИНА РЕАКЦИЯ. 1) Восстановление реактива Фолина, к-рый представляет собой водный р-р H7[P(W2O7)] и (иногда) Н7[Р(Мо2О7)6]. Собственно реактив Фолина готовят след. образом: 100 г вольфрамата Na, 150 мл H2O и 33 мл 85%-ной H3PO4 кипятят с обратным холодильником в течение часа; добавляют 0,2-0,25 мл Br2 и кипятят до удаления паров последнего, затем разбавляют водой до 1 л. Этот реактив предложил в 1912 О. Фолин для определения фенолов.
Часто под реактивом Фолина подразумевают реактив Фо-лина-Чиокалтеу, к-рый готовят неск. иначе: 100 г вольфрамата Na, 25 мг молибдата Na, 700 мл H2O, 50 мл 85%-ной H3PO4 и 100 мл HCl кипятят с обратным холодильником 10 ч, затем добавляют 150 г сульфата Li, 50 мл H2O и 3-4 капли Br2, избыток к-рого удаляют кипячением в течение ок. 15 мин; смесь охлаждают, разбавляют водой до 1 л и фильтруют. Используют и др. модификации реактива Фолина.
Фолина реакцию и ее варианты применяют для обнаружения и фото-метрич. определения фенолов, тиолов и дисульфидов (цисти-на, цистеина), пуриновых оснований (гуанина, ксантина, 2-гидроксиаденина), мочевой к-ты, пептидов и белков, содержащих тирозин и триптофан. В присут. перечисленных соед. в щелочной среде реактив Фолйна восстанавливается до синих оксидов WO2 · nWO3 или MoO2 · nMoО3. Интенсивность синей окраски измеряется при длине волны 540-780 нм, чаще 620-660 нм.
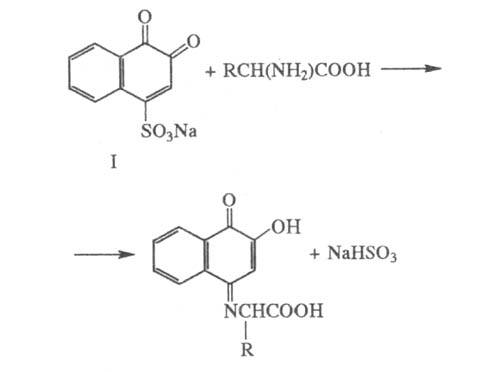
2) Взаимодействие Na-соли 3,4-нафтохинон-1-сульфокис-лоты (ф-ла I) с аминокислотами в слабощелочной среде с образованием хиноидного соед. коричнево-красного цвета с максимумом поглощения при 500-540 нм:

Р-цию применяют для определения аминокислот в биол. р-рах, напр. крови. Р-ция неспецифична, т.к. большинство др. первичных аминов дает окраску в тех же условиях.
Лит.: Mазоr Л., Методы органического анализа, пер. с англ., M., 1986, с. 493; Kakac В., VejdelekZ.J., Handbuch der photometrischen Analyse organischer Verbindungen, Bd 1-2, Prague, 1974. Я. К. Куцева.