Витамин B6

6"> 6">

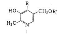
ВИТАМИН В6, группа соед. - производных 2-метил-З-гидроксипиридина. В природе представлен тремя формами (витамерами) - пиридоксином, или пиридоксолом [ф-ла I, R = CH,OH, R' = H; т. пл. 62-64°С (с разл.)], пиридоксалем (I, R = СНО, R' = H; т. пл. оксима 225-226°С) и пиридоксамином (I, R = CH2NH2, R' = H; т. пл. 193-193,5°С). Все они раств. в воде и этаноле, плохо-в других орг. р-рителях. Устойчивы к действию О2, а также при нагр. в 5н. H2SO4, HC1 или щелочах. Легко разрушаются под воздействием света в нейтральных и щелочных средах. Под действием КМnО4 или Н2О2 пиридоксин и пиридоксамин окисляются до пиридоксаля. Последний легко взаимод. с разл. реагентами на карбонильную группу: с аминами образует шиффовы основания (азометины), с 1,2- и 1,3-аминотиолами (напр., цистеином, гомоцистеином) - производные тиазолидина. При взаимод. с NH2OH пиридоксаль образует оксим, гидрирование к-рого позволяет получить пиридоксамин.

5'-Фосфорные эфиры витамеров м. б. получены с помощью фосфорилирующих агентов, напр. РОС13, метафосфорной и полифосфорной к-т. При этом в пиридоксине защищают гидроксигруппы в положениях 3 и 4 (путем взаимод. с реагентами, образующими циклич. ацетали), в пиридоксале - формильную группу (с помощью первичных аминов, образующих с витамером азометины, или др. реагентов на карбонильную группу). Дигидрохлорид пиридоксамина фосфорилируется преим. по гидрооксигруппе в положении 5' и не требует защиты др. гидроксигрупп. Образующийся при этом пиридоксамин-5'-фосфат [ф-ла I, R = CH2NH2, R' = РО(ОН)2] превращ. с хорошим выходом в пиридоксаль-5'-фосфат [I, R = СНО, R' = РО(ОН)2] при окислении кислородом в щелочной среде или в результате переаминирования при взаимод. с глиоксиловой к-той в присут. Сu2 + или Ni2 +.
1075-4.jpg

При облучении р-ров пиридоксина и пиридоксамина УФ-светом наблюдается синяя флуоресценция, пиридоксаля — голубая, к-рая при рН > 7 становится желтой. При рН 2,0 р-ры пиридоксина имеют максимум поглощения при 292,5 нм; при рН 4,5 появляется новый максимум в области 327,5 нм, интенсивность к-рого растет со смещением рН к 6,75, что сопровождается исчезновением максимума при 292,5 нм и появлением второго максимума в области 256 нм. Витамеры В6 образуют окрашенные продукты в присут. FеС13 и реактива Фолина. Эти р-ции, а также спектральные характеристики витамеров используют для их количеств. определения и качеств. обнаружения.

Витамин В6 синтезируют многочисл. виды микроорганизмов и растения. Из пищ. продуктов им наиб. богаты (по сумме витамеров) зеленый перец (81,2 мкг/г), сухие дрожжи (46,2 мкг/г), печень рогатого скота (38 мкг/г) и зерна пшеницы (14,6 мкг/г).

Механизм действия витамина В6 связан с его превращ. в организме в каталитически активную (коферментную) форму - пиридоксаль-5'-фосфат. Биосинтез последнего осуществляется в одну стадию путем фосфорилирования пиридоксаля с помощью АТФ в присут. фермента пиридоксалькиназы или в две стадии - фосфорилированием с помощью АТФ пиридоксина и пиридоксамина (фермент такой же, как в первой р-ции) с послед, окислением пиридоксин-5'-фосфата [ф-ла I, R = СН2ОН, R' = РО(ОН)2] и пиридоксамин-5'-фосфата в пиридоксаль-5'-фосфат специфич. оксидазой. В основе каталитич. активности пиридоксаль-5'-фосфата лежит способность его формильной группы образовывать с1075-5.jpgаминокислотами азометины (см. Аспартатаминотрансфераза). Избирательность этой р-ции и высокая скорость превращ. промежут. кофермент-субстратных комплексов с образованием конечного продукта определяются структурой активных центров ферментов. Р-ции, в к-рых участвует коферментная форма витамина В6, играют важную роль в регуляции процессов, связанных с обменом1075-6.jpg аминокислот, белков, нуклеиновых к-т, жиров и др.

Пром. способы получения пиридоксина и пиридоксаль-5'-фосфата (лек. формы витамина В6) основаны на синтезе из алифатич. предшественников (напр., из амида циануксусной к-ты и 1-метокси-2,4-диоксопентана) пиридинового гетероцикла с соответствующими функц. группами в положениях 4 и 5, а также метальной группой в положении 2 и на р-ции Дильса-Альдера оксазолов с диенофилами. Применяют витамин В6 для лечения токсикозов беременных, нек-рых видов злокачественного малокровия, заболеваний нервной системы, себорейного дерматита и др. Суточная потребность взрослого человека 2-2,5 мг.

Литература

Флорентьев В. Л., в кн.: Коферменты, М., 1973, с. 219-37; Горячен ко в а Е. В., в кн.: Витамины, М., 1974, с. 236-63; Букин Ю. В., в кн.: Экспериментальная витаминология, Минск, 1979, с. 385-410. Ю.В.Букин.

Синонимы/примеры:* Пиридоксин; Пиридоксаль; Пиридоксамин
*подобраны ИИ, возможны неточности
Ещё по теме
Витамин В6 — свойства и значение
Пиридоксин — всё о витамине В6
Пиридоксин гидрохлорид — свойства и применение витамина В6
Пиридоксин — всё, что нужно знать о витамине В6
Витамин В6 — показания, противопоказания и применение
Пиридоксин гидрохлорид — всё о витамине В6
Водорастворимые витамины — роль и значение
Витамин В6 — роль пиридоксина
Пиридоксин — показания, противопоказания, побочные эффекты
Рибофлавин — свойства и биологическая роль витамина В2
2-Метил-3-окси-4,5-ди(оксиметил)-пиридина гидрохлорид — свойства и применение
Пиридоксальфосфат — свойства и применение
Рибофлавин — всё о витамине В2
Рибофлавин — всё о витамине В2
Водорастворимые витамины — строение и роль в организме
Пиридоксальфосфат — информация о препарате
Рибофлавин — роль и источники витамина В2
Пиридоксальфосфат для инъекций — информация и применение