Карбоксилирование
КАРБОКСИЛИРОВАНИЕ, введение карбоксильной группы в молекулу орг. соединения. Осуществляется обычно путем внедрения СО2 по связи С—Н или С—М (с послед. гидролизом):
М = Li, Na, Cu, AlR2, MgX и др. Hаиб. легко карбоксилированию подвергаются металлоорг. соед., среди к-рых чаще всего используют производные Li и Mg, напр..
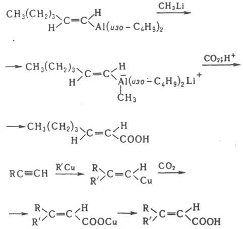
Р-цию проводят под действием газообразного или твердого СО2. Для синтеза нек-рых карбоновых к-т применяют орг. производные Al, Zr, Cu и др., напр.:
Феноляты щелочных металлов под действием СО2 с хорошим выходом превращ. в гидроксикислоты (см. Кольбе-Шмитта реакция). Аналогично реагируют соли гетероциклич. и полициклич. гидроксисоединений, напр.:
Карбоксилирование магнийпроизводных орг. аминов приводит к n-аминобензойным к-там:
Карбоксилированием называют также превращ. в карбоновые к-ты илидов Р под действием СО2 в щелочном р-ре с послед. кислотным гидролизом:
Общий метод карбоксилирования насыщ. углеводородов, содержащих Н при третичном атоме С, - введение карбоксильной группы путем замещения атома водорода. Осуществляется обычно действием смеси муравьиной и серной к-т в mpeт-бутаноле, напр.:
Введение карбоксильной группы в насыщенные или ароматич. углеводороды осуществляется также действием оксалилхлорида, напр.:
Гидрокарбоксилирование (гидроксикарбонилирование) - присоединение атома Н и карбоксильной группы по двойной связи. Осуществляют обычно действием карбони-лов Ni или Со, а также СО под давлением в присут. катализатора, напр.:
Частный случай гидрокарбоксилирования - превращ. олефинов в карбоновые к-ты под действием смеси НСООН и конц. H2SO4 (см. Коха-Хаафа реакция).Карбоксилирование играет большую роль во мн. ферментативных процессах. При фотосинтезе СО2 связывается сначала рибулозо-1,5-дифосфатом, а образующееся соед. распадается на две молекулы 3-фосфоглицериновой к-ты. У растений осн. продуктом ассимиляции СО2 обычно бывает крахмал. Нефотосинтезирующие организмы используют СО2 при биосинтезе жирных к-т, углеводов, аминокислот и др. Обратимое восстановительное карбоксилирование пировиноградной и фосфоенолпировиноградной к-т, а также ферментативное карбоксилирование ацетил-, b-метилкротоноил- и пропионилкоэнзимами А обеспечивают работу трикарбоновых кислот цикла.
Литература
Талалаева Т. В., Кочешков К. А., в кн., Методы элементоорганической химии. Литий, натрий, калий, рубидий, цезий, под общ. ред. А. Н. Несмеянова и К. А. Кочешкова. кн. 1, М., 1971, Мишенко Г. Л., Вацуро К. В., Синтетические методы органической химии. Справочник, М., 1982; Ноуben Weyl, Methoden der organischen Chemie, 4 Auff., Bd. 8, Stuttg.,1952.
Ещё по теме
Карбоксилирование — процессы и роль в организме
Декарбоксилирование в химии и биологии — процессы и реакции
Активирование карбоксильной группы в химии пептидов
Реппе реакции в органической химии
Реакции металлоорганических соединений
Защита карбоксильной группы в химии
Сульфирование органических соединений
Фосгенирование в органической химии
Реакции нуклеофильного замещения в химии углеводов
Карбоновые кислоты — свойства, получение и применение