Окислительно-восстановительные ионообменные смолы
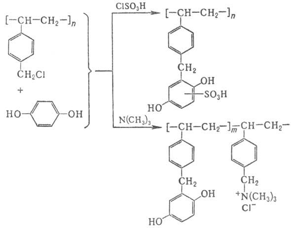
ОКИСЛИТЕЛЬНО-ВОССТАНОВИТЕЛЬНЫЕ ИОНООБМЕННЫЕ СМОЛЫ (редокс-иониты, электроноионообмен-ники), содержат группы, способные как к ионному обмену (подобно др. ионообменным смолам), так и к обратимому окислит.-восстановит. превращению в р-рах окислит.-восстановит. систем. Указанные р-ции могут протекать одновременно или независимо друг от друга. В зависимости от способа получения различают след. редокс-иониты: синтетич., на основе ионообменных сорбентов и адсорбционные. В первых окислит.-восстановит. группа химически (необратимо) связана с полимерной матрицей (каркасом) смолы. Наиб. известны синтетические редокс-иониты полимеризац. типа на основе сополимера стирола с дивинилбензолом; их получают арилированием хлорметилир. сополимера гидрохиноном, бензохиноном, диметоксибензолом или их производными с послед. сульфированием или аминированием (введение соотв. катионо- или анионообменных групп), напр.:

Из синтетических редокс-ионитов поликонденсац. типа наиб. распространены гидрохинон-фенол-формальдегидные; получены редокс-иониты из фенола, формальдегида и многоядерных арома-тич. дигидроксисоед., а также др. Недостатки этих редокс-ионитов -пониж. термостойкость и невысокие кинетич. характеристики из-за нерегулярности структуры.
Редокс-иониты на основе ионообменных сорбентов получают обработкой последних р-рами солей переходных металлов или орг. соединений, обладающих окислит.-восстановит, св-вами; напр., катиониты насыщают ионами Fe2+, Sn2+, Ce3+, Ti3 + , Cu + , Cr3 + , метиленовым синим, метилвиолетом, фуксином, аниониты -
,
, тимолфталеином, гидрохиноном, дигидрохло-ранилом. Ионы, участвующие в окислит.-восстановит. превращениях, связаны с полимерной матрицей ионными или координац. связями. Существ. недостаток таких редокс-ионитов-переход этих ионов в р-р вследствие гидролиза.
Наиб. практич. значение имеют адсорбционные редокс-иониты, в к-рых редокс-соед. расположены в порах или на пов-сти ионообменного носителя (на практике - обычная ионообменная смола) и химически не связаны с ним. Синтез осуществляют в три стадии: 1) обработка катионита р-ром соли переходного металла (на практике-соль Сu) для перевода в солевую форму, напр.:

2) восстановление поглощенного носителем иона до своб. металла, к-рый остается в порах носителя:

3) замена щелочного металла в носителе на Н+ (т.е. перевод носителя в Н+ - форму):

Многократным повторением первых двух стадий можно получить редокс-иониты, обладающие высокой окислит.-восстановит. емкостью; последняя соответствует концентрации редокс-групп (мг-экв.), участвующих в обратимом обмене электронами с водным р-ром, в 1 г сухого редокс-ионита. По мере окисления металла его ионы не переходят в р-р, а поглощаются Н+ формой носителя. Регенерирует такой редокс-ионит последоват. обработкой щелочным агентом и к-той (стадии 2 и 3).
Применяют преим. адсорбционные редокс-иониты для подготовки воды в паросиловых энергетич. установках с целью одновременного удаления растворенного О2 и деионизации (либо умягчения), для удаления следов О2 из технол. воды, а также в медицине, биохимии, аналит. химии и т.д.
Лит.: Кассиди Г. Дж., Кун К. А., Окислительно-восстановительные полимеры (Редоксполимеры), пер. с англ., Л., 1967; Кожевников А. В., Электроно-ионообменники, Л., 1972; Кравченко Т. А., Николаев Н. И., Кинетика и динамика процессов в редоксидах, М., 1982; Иониты в химической технологии, под ред. Б. П. Никольского и П. Г. Романкова, Л., 1982. В. Б. Каргман.