Сторка реакция
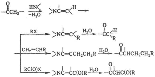
СТОРКА РЕАКЦИЯ, a-алкилирование (a-ацилирова-ние) кетонов или альдегидов последоват. действием на них вторичными аминами (с образованием енаминов), алкилирующими (ацилирующими) агентами и Н2О, напр.:

Р-цию проводят в орг. р-рителе (напр., диоксане, ацето-нитриле) при нагревании. Образующиеся продукты гидро-лизуют в присут. к-т.
Для получения енаминов обычно используют пирроли-дин, морфолин или пиперидин, в качестве алкилирующих (ацилирующих) агентов-активир. олефины, эпоксиды, a-га-логензамещенные простые и сложные эфиры, кетоны и нитрилы; первичные или вторичные алкилгалогениды обычно одновременно с С-алкилированием осуществляют N-алки-лирование, третичные алкилгалогениды в условиях Сторка реакции образуют олефины (установлено, что первичные алкилгалогениды гладко алкилируют по атому С енамины, полученные из бутилизобутиламина и альдегидов, а нек-рые активир. арилгалогениды, напр. 2,4-динитрохлорбензол, сравнительно легко арилируют ряд енаминов). При вовлечении в Сторка реакцию несимметрично замещенных циклич. кетонов алкилирование обычно идет с той стороны карбонильной группы, где меньше заместителей в цикле. Продукты алкилирования в ходе р-ции иногда претерпевают циклизацию. Выходы продуктов алкилирования при использовании олефи-нов (обычно эфиров акриловой к-ты, акрилонитрила, метилвинилкетона, нитроэтилена) ок. 85%, в др. случаях 45-70%.
Типичные ацилир. агенты в Сторка реакции -RC(O)Hal (R = Alk, Ar, Hal = Cl, Br), ангидриды низших карбоновых к-т, изоцианаты, кетены и изотиоцианаты; применяют также С(O)Сl2, ClC(O)OR, HalC(O)C(O)Hal, ClCN, RSO2Cl и др. Выходы 50-70%. При использовании RC(O)Hal аци-лирование иногда ведут в присут. N(C2H5)3 или избытка енамина.
Нек-рые р-ции ацилирования на ключевой стадии показаны на схеме:

Образующиеся при ацилировании b-дикетоны используют в синтезе кетокислот и дикетодикарбоновых к-т. Механизм ключевой стадии включает след. превращения:

Модификации Сторка реакции: алкилирование солей енаминов, к-рые синтезируют обработкой иминов С2Н5 MgBr в ТГФ, а также алкилирование литийенаминов с помощью RHal и послед. гидролиза промежут. продукта:

Сторка реакцию используют в препаративной практике, она открыта Г. Сторком, Р. Терреллом и Дж. Шмушкевичем в 1954.
Лит.: Марч Дж., Органическая химия, пер. с англ., т. 2, М., 1987, с. 442-45; Enamines: synthesis, structure and reactions, ed by A.G. Cook, N.Y., 1969.
Г.И. Дрозд.