Фурфурол
ФУРФУРОЛ (фурфураль, 2-фуранкарбальдегид), мол.м. 96,09; быстро темнеющая на воздухе жидкость с запахом ржаного хлеба; т. пл. -38,7 0C, т. кип. 161,5 0C, 39,9/8 мм рт. ст.;
1,1594;
1,5255; h 1,49 мПа с (25 0C); g 40,7 мН/м (29,9 0C); m 12,04·10-30 Кл·м; ур-ние температурной зависимости давления пара
(313,05-443,75 К): lg р (мм рт. ст.) = 8,0564--2251/Т; ркрит 5,502 МПа, tкрит 397 0C;
1,75 кДж/(кг·К);
-200 кДж/моль;
-2,34 МДж/моль; e 38 (бензол, 25 0C). Смешивается со мн. орг. р-рителями, раств. в воде (8,3% по массе при 20 0C и 19,9% при 90 0C); перегоняется с водяным паром. Образует азеотропные смеси с водой (т. кип. 97,85 0C, 35% фурфурола по массе), пентахлорэтаном (т. кип. 156,75 0C, 40% фурфурола) и бромбен-золом (т. кип. 153,3 0C, 23% фурфурола).
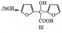
По хим. св-вам фурфурол- ароматич. альдегид. В присут. солей синильной к-ты вступает в бензоиновую конденсацию, образуя фуроин (ф-ла I), к-рый при окислении превращается в фурил (II); последний при нагр. с едкими щелочами перегруппировывается в фуриловую к-ту (III):


Нагревание с р-рами щелочей приводит по р-ции Канниц-царо к смеси фурфурилового спирта (ф-ла IV; т. пл. -14,6 0C, т. кип. 171 0C, ,
1,1285;
1,4868) и пирослизевой к-ты (V):

Фурфурол легко конденсируется с соед., имеющими активные метильные или метиленовые группы по р-ции Перкина; так, нагревание с диацетамидом и ацетатом Na при 180 0C дает смесь амида 3-(2-фурил)акриловой к-ты и пирослизевой к-ты. Конденсация фурфурола с фурфуриловым спиртом и др. спиртами, а также с фенолами, кетонами и альдегидами приводит к фурановым смолам.
Электроф. замещение фурфурола идет в положение 5. При хлорировании в присут. бензоилпероксида и нитровании дымящей HNO3 фурфурол превращается соотв. в 5-хлор- и 5-нитропроизвод-ные; взаимод. с HgCl2 приводит к 5-меркурхлориду фурфурола. При действии NH3 в присут. CH3OH (150-250 С, 20,8 МПа, кат. Со) фурфурол превращается в пиперидин.
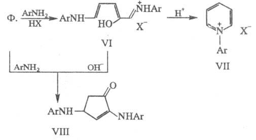
При действии на фурфурол первичных ариламинов в кислой среде происходит раскрытие цикла с образованием соли VI, к-рая под влиянием к-ты циклизуется в пиридиниевую соль VII, а при действии оснований - в замещенный циклопенте-нон VIII; последний м. б. получен непосредственно при взаимод. фурфурола с ариламином в отсутствие к-ты:

Одна из особенностей фурфурола- автоокисление с образованием муравьиной и 2-формилакриловой к-т. Окисление фурфурола в разл. условиях приводит к расщеплению цикла фурфурола с образованием смеси малеиновой к-ты и малеинового ангидрида (200-400 0C, кат. V2O5), пирослизевой к-ты (50 0C, кат. Ag2O, щелочная среда), смеси 3-гидроксипирослизевой к-ты и 3-гидроксифур-фуррла (H2O2, 40 0C), фумаровой к-ты (нагревание с NaClO3, кат. V2O5). При гидрировании на CuO/Cr2O3 (5-10 МПа, 200-250 0C) фурфурол превращается в сильван (2-метилфуран), при 150-170 °С-в фурфуриловый спирт, дальнейшее гидрирова-ние к-рого над Ni-Ренея при 230-250 0C и 5-10 МПа ведет к тетрагидрофурфуриловому спирту. В присут. Zn(CrO2)2 фурфурол декарбонилируется в фуран.
Фурфурол получают гидролизом растит. пентозансодержащего сырья (кукурузные початки, овсяная и рисовая шелуха, хлопковые коробочки и др.) разбавленными минер. к-тами с непрерывной отгонкой продукта с паром.
Фурфурол- сырье для синтеза фурана, сильвана, фурфурилового спирта, ТГФ, фурановых смол, лек. средств (напр., фураци-лина) и пестицидов, экстрагент при очистке нефти и растит, масел от углеводородов.
Т.всп. 64 0C, т.самовоспл. 290 0C, КПВ 2,1-19%. Фурфурол-нервный яд, обладает раздражающим действием; ЛД50 126 мг/кг (крысы, перорально); ПДК в атм. воздухе 0,05 мг/м3, в воде водоемов 1 мг/л.
Лит.: Общая органическая химия, пер. с англ., т. 9, 1985, с. 163; Kiik-Oth-mer encyclopedia, 3 ed., v. 10, N. Y., 1980. См. также лит. при ст. Фуран.
С. К. Смирнов, С. С. Смирнов.