Хлорфеноксиуксусные кислоты

ХЛОРФЕНОКСИУКСУСНЫЕ КИСЛОТЫ (О-хлорфенилгликолевые к-ты), соед. ф-лы I (п = 1-5). Наиб. пром. значение имеют 4-хлорфеноксиуксусная к-та (4-ХФУК, парафен, томато-фикс, томатон) и ее 2-метилпроизводное - 2-метил-4-хлорфеноксиуксусная к-та (2М-4Х, МСРА, дикотекс, метаксон), а также 2,4-дихлорфеноксиуксусная (2,4-Д, акваклин) и 2,4,5-трихлорфеноксиуксусная (2,4,5-Т) к-ты (табл.).

6007-52.jpg

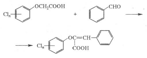
Хлорфеноксиуксусные кислоты - слабые к-ты; обладают св-вами карбоновых кислот и ароматических соединений. Легко образуют соли, ангидриды, хлорангидриды, эфиры, амиды и др. производные. С ароматич. альдегидами вступают в р-цию Перкина с образованием производных коричной к-ты, напр.:

6007-53.jpg

СВОЙСТВА ОСНОВНЫХ ХЛОРФЕНОКСИУКСУСНЫХ КИСЛОТ

Показатель
4-ХФУК
2М-4Х
2,4-Д
2,4,5-Т
Мол. м.
186,59
200,62
221,04
255,48
Т.пл., оС
159-160
120-120,2
141
158-159
Т. кип., °С
160/0,4 мм рт. ст.
Р-римость в Н2О,

г/л (20 °С)

0,68
0,63
0,54
0,192
Ка
9,6 х 10-4
5,4 х 10-4
23,0 х 10-4
ЛД50, мг/кг (мыши, перорально)
100
540-700
314-455
500

При хлорировании получаются продукты более глубокого хлорирования, напр. 2,4-Д при взаимод. с С12 превращается в 2,4,6-трихлорфеноксиуксусную к-ту. Нитрование 2,4-Д приводит гл. обр. к 5-нитро-2,4-дихлорфеноксиуксусной к-те (примесь - 6-нитроизомер). При нагр. хлорфеноксиуксусных кислот с HHal происходит гидролиз с образованием соответствующего хлорфенола и гликолевой к-ты; р-ция быстрее всего протекает с HI и идет тем легче, чем выше кислотность образующегося фенола. Действие А1С13 на хлорангидриды хлорфеноксиуксусных кислот приводит к образованию производных 4-хроманона:

6007-54.jpg

Наиб, распространенный пром. способ получения хлорфеноксиуксусных кислот заключается в конденсации хлорфенолятов с солями монохлоруксусной к-ты в водной или орг. среде, напр:

6007-55.jpg

Для уменьшения гидролиза продукта р-цию в водной среде проводят в избытке фенолята или с добавлением NaCl. При проведении процесса возможно образование высокотоксичных производных диоксина, напр. при синтезе 2,4,5-Т образуется 2,3,7,8-тетрахлордибензодиоксин (ЛД100 Для животных 0,08-0,2 мг/кг):

6007-56.jpg

Произ-во 2,4,5-Т этим способом постепенно сокращается.
Другой пром. метод получения - хлорирование феноксиуксусной к-ты, полученной конденсацией фенолята Na с хлорацетатом Na в водной среде, или ее производных (в частности, эфиров) действием С12, NaCIO, смесью NaClO3 с НС1, суль-фурилхлорида или хлорамина. Наиб. распространен метод прямого хлорирования; р-цию проводят в расплаве к-ты, орг. р-рителе, в присут. катализаторов (I2, Fe-стружки) или водно-щелочной среде с эквимолярным кол-вом С12 при повышенной т-ре. Напр., эфиры 2,4-Д получают взаимод. С12 с эфирами феноксиуксусной к-ты при 150 °С:

6007-57.jpg

2,4,5-Т получают хлорированием 2,5-дихлорфеноксиуксусной к-ты в орг. р-рителе при 90-120 °С.
Все хлорфеноксиуксусные кислоты и их производные (ангидриды, хлорангидриды, эфиры, амиды и др.) - биологически активные в-ва - гл. обр. гербициды и регуляторы роста растений, а также бактерициды, фунгициды, репелленты, овициды. Широко используются для борьбы с двудольными сорняками в посевах хлебных злаков и техн. культур (2,4-Д, 2М-4Х в дозах 0,2-2 кг/га), с кустарниками и древесной порослью (2,4,5-Т в дозах 5-7 кг/га применяют обычно в виде бутилового эфира в смеси с бутиловым эфиром 2,4-Д); 4-ХФУК - регулятор роста растений для получения паргенокарпич. плодов томатов. Наиб. сильным гербицидным действием обладают эфиры хлорфеноксиуксусных кислот, причем для достижения равного с действием к-ты эффекта требуется в 2-3 раза меньшая доза препарата. ПДК в воздухе рабочей зоны для 2М-4Х и 2,4-Д -1,0 мг/м3.
Общий объем произ-ва хлорфеноксиуксусных кислот и их производных в России ок. 50 тыс. т в год (1990); более 1/2 объема приходится на эфиры хлорфеноксиуксусных кислот (ок. 1500 препаратов).

Лит.: Мельниковы. Н., Пестициды. Химия, технология и применение, М., 1987; Каспаров В. А., Промоненков В. К., Применение пестицидов за рубежом, М., 1990.

А. А. Заликин.

Синонимы/примеры:* 2,4-Д; 2,4-дихлорфеноксиуксусная кислота; 2,4-Дихлорфеноксиуксусная кислота
*подобраны ИИ, возможны неточности