Мицеллирный катализ
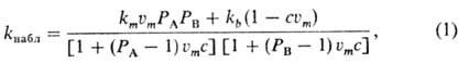
МИЦЕЛЛЯРНЫЙ КАТАЛИЗ, ускорение хим. р-ций в присут. мицелл ПАВ. Обусловлен гл. обр. изменением концентрации реагирующих в-в при переходе реагентов из р-ра в мицеллы; для р-ций с участием диссоциирующих частиц существенно также влияние мицелл ПАВ на константу скорости и сдвиг равновесия диссоциации молекул реагентов. Наиб. корректное описание мицеллярного катализа дает псевдодвухфазная модель, к-рая рассматривает наблюдаемую скорость р-ции как сумму скоростей процессов в фазе р-рителя (воде или неводной среде в случае "обращенных" мицелл) и мицелляр-ной псевдофазе, характеризуемых соотв. константами скоростей kb и km. Распределение реагентов А, В, ... между мицеллами и р-рителем описывается с помощью констант РА = [А]m/[А]b, PB = [В]т/[В]b, где [A] m- концентрация в-ва в мицеллярной псевдофазе, [А]b- концентрация в-ва в р-рителе. Для наиб. распространенного случая бимолекулярной р-ции типа А + В
продукты, наблюдаемая константа скорости второго порядка равна

где um- молярный объем ПАВ, с - концентрация ПАВ в мицеллярной форме, т.е. общая концентрация ПАВ минус критич. концентрация мицеллообразования.

Зависимость kна6л от концентрации бромида цетилтриметиламмония (БЦТА) при ацилировании салицилальдоксима n-нитрофениловым эфиром триметилуксусной к-ты (kB = = 0,012 л/моль.с).
Мицеллярный катализ применяют для разнообразных хим. р-ций: эмульсионная полимеризация, идущая с участием молекул мономера, включенного в мицеллы ПАВ; нуклеоф. замещение, напр. гидролиз сложных и простых эфиров, амидов, шиф-фовых оснований; электронный перенос с участием орг. и неорг. окислит.-восстановит. пар; замещение лиганда в комплексах металлов; фото- и радиационно-хим. р-ции и др. Важное самостоят. направление - изучение каталитич. ф-ций ферментов, включенных в обращенные мицеллы ПАВ. Мицеллярный катализ исследуется также как модель ферментативного катализа. В этом отношении особенно перспективны т. наз. функцион. мицеллы, образованные молекулами ПАВ с ковалентно связанными каталитически активными группами.
Исп. литература для статьи «МИЦЕЛЛЯРНЫЙ КАТАЛИЗ»: Мицеллообразование, солюбилизация и микроэмульсии, под ред. К. Миттел, пер. с англ., М., 1980; Fendler J.H., Fendler E.J., Catalysis in miccllar and macromolecular systems, N.Y., 1975; Thomas J.K., "Chem. Rev.", 1980, v. 80, №4, p. 283-99; Turro N.J., Graetzel M., Braun A.M., "Angew. Chem., Intern. Ed.", 1980, v. 19, p. 675-96. A.K. Яцимирский.