Бензолполикарбоновые кислоты

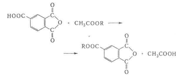
БЕНЗОЛПОЛИКАРБОНОВЫЕ КИСЛОТЫ С6Н6_n(СООН)n, бесцв. кристаллы. Св-ва бензолполикарбоновых кислот, содержащих от 3 до 6 карбоксильных групп, приведены в таблице. О дикарбоновых к-тах см. Фталевая кислота, Изофталевая кислота, Терефталевая кислота. Бензолполикарбоновые кислоты умеренно раств. в воде, хорошо - в этаноле, ацетоне, эфире, этилацетате, ДМФА. Выше 200 °С или при кипячении с двухкратным кол-вом уксусного ангидрида превращ в ангидриды, из к-рых наиб. практич. значение имеет пиромеллитовый диангидрид. Со щелочами и основаниями образуют соли; с SOC12 и СОС12 (кат. - вторичные амины) - хлорангидриды. Полностью этерифицируются при нагр. со спиртами; переэтерифицируются при взаимод. со сложными эфирами низкомол. карбоновых к-т. Ангидриды трикарбоновых к-т реагируют с последними по своб. группе СООН:
Реакция ангидридов с трикарбоновыми кислотам

Эфиры бензолполикарбоновых кислот взаимод. с этиленгликолем (кат.-к-ты и основания) с образованием полиэфиров. Хлорангидриды и ангидриды при взаимод. с NH3 и аминами превращ. в амиды и имиды; пиромеллитовый диангидрид реагирует с диаминами, образуя полиимиды. Метиловые эфиры бензолполикарбоновых кислот при обработке LiAlH4 образуют гидроксиметилбензолы. Три-и тетракарбоновые к-ты при 200-220 °С [кат. - Со (СО)8] декарбоксилируются до смеси изофталевой и терефталевой к-т.

В пром-сти тримеллитовую к-ту получают окислением псевдокумола: 1) воздухом в уксусной к-те при 170-250°С и 1,5-3,0 МПа (кат.-соли Со, Мп); 2) 7-10%-ным р-ром НNО3 при 170-190°С и 2,0 МПа (кат.-HCl, НВг); 3) сначала воздухом при 150-160°С (кат.-соли Со) с образованием смеси моно- и дикарбоновых к-т, затем 15-20%-ным р-ром HNO3 при 150-160°С и 3,0-3,5 МПа. Выход 95%. Нагреванием при 200-220°С к-ту превращают в ангидрид (т. пл. 168°С, т. кип. 390°С), к-рый очищают дистилляцией. Три-мезиновую к-ту синтезируют окислением мезитилена воздухом так же, как псевдокумол, или р-ром КМnО4 в щелочной среде при 100 °С. Диангидрид пиромеллитовой к-ты получают окислением дурола воздухом в газовой фазе при 350-500°С (кат.-V2О5, модифицированный Мо; выход 85%) или смесью Na,Cr2O7 с Na2CrO4 при 260-290°С под давлением СО2 3,0-3,5 МПа (выход 99%). Остальные бензолполикарбоновые кислоты получают в лаборатории окислением соответствующих алкилзамещенных бензола действием КМnО4 в щелочной среде при 100°С или в присут. катализатора.

Триметиллитовый ангидрид-отвердитель эпоксидных смол, хлорангидрид (т. пл. 68-69 °С, т. кип. 175°С/15 мм рт. ст.) используют для синтеза полиимидоамидов. Эфиры тримеллитовой к-ты, напр. триизооктилтримеллитат (т. кип. 283 °С/2,5 мм рт. ст.), применяют как пластификаторы. Тримезиновая к-та - промажут. продукт в произ-ве текстильновспомогат. в-в для крашения полиамидных волокон. Пиромеллитовый диангидрид-отвердитель эпоксидных смол, ингибитор коррозии; его используют также в произ-ве азопигментов, полиимидов; тетраэфиры пиромеллитовой к-ты - пластификаторы виниловых полимеров.

СВОЙСТВА БЕНЗОЛПОЛИКАРБОНОВЫХ КИСЛОТ

Мол. м.
Т. пл, °С
pKa1
pKа2
pKa3
pKa4
So298,

кДж/моль

Р-римость в 100 г воды, г
25°С
100°С
Гемимеллитовая ( 1 ,2,3-бензолтрикарбоновая)
210,15
197
2,8
4,2
5,87
-
1160
3,15 (19°С)
Хорошо раств.
Тримеллитовая (1,2,4-бензолтрикарбоновая)
210,15
238
2,52
3,84
5,20
1179
2,1
60
Тримезиновая ( 1 ,3,5-бензолтрикарбоновая)
210,15
380
2,12
3,84
4,70
1190
0,24
6,4
Меллофановая (1 ,2,3,5-бензолтетракарбоновая)
254,16
241
2,06
3,25
4,73
6,21
1562
Раств.
Хорошо раств.
Пренитовая (1 ,2,3,4-бензолтетракарбоновая) Пи ромеллитовая
254,16 254,16
253 281
2,38 1,92
3,51 2,87
4,44 4,49
5,81 5,63
1549 1571
1,5
>30
(1,2,4,5-бензолтетракарбоновая) 1, 2,3,4,5- Бензолпентакарбоновая*
298,17
238
1,80
2,73
3,97
5,25
1930
Раств.
Хорошо
Меллитовая (бензолгексакарбоновая)**
342,18
288
1,40
2,19
3,31
4,78
2299
Раств.
раств. //

* рКa5 6,26. ** рКа5 5,89; рКa66,96.

Пыль ангидридов бензолполикарбоновых кислот, превращающихся в присут. влаги в к-ты, при контакте с кожей вызывает раздражение. Для тримеллитового ангидрида ЛД50 1,25 г/кг (мыши, перорально); ПДК 0,05 кг/м3; т. всп. 227°С Для тримезиновой к-ты ЛД50 8,37 г/кг (крысы, перорально). ПДК пиромеллитового диангидрида 5 мг/м3.

Литература

Ullmanns Eneyklopadie, Bd 9, Weinheim-N.Y, 1976, S. 150. H. Б. Карпова.

Синонимы/примеры:* Тримеллитовая кислота; Тримезиновая кислота; Геммеллитовая кислота; Пиромеллитовая кислота; Меллитовая кислота; Бензол-1,2,3-трикарбоновая кислота; Бензол-1,2,4-трикарбоновая кислота; Бензол-1,3,5-трикарбоновая кислота; Бензол-1,2,4,5-тетракарбоновая кислота; Бензолгексакарбоновая кислота
*подобраны ИИ, возможны неточности