Альдимины и кетимины

АЛЬДИМИНЫ И КЕТИМИНЫ, производные альдегидов и кетонов, в к-рых атом кислорода карбонильной группы замещен иминогруппой =NH. Общая ф-ла альдиминов-RCH=NH, кетиминов-RR'C=NH.

Назв. альдиминов и кетиминов производят от назв. двухвалентного радикала RR'C= прибавлением слова "амин" или от названия соед. RR'CH2 присоединением суффикса "имин" (либо префикса "имино"), напр. СН3СН=NН-этилиденамин или этанимин. Применяются также традиц. назв., образованные от назв. альдегидов или кетонов, напр. СН3СН=NH-ацетальдимин, (С6Н5)2С=NН-дифенилкетимин, или бензофенонимин.

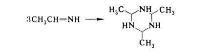
Альдимины и кетимины-жидкие или твердые в-ва; не раств. в воде, раств. в орг. р-рителях. Производные альдегидов и низших алифатич. кетонов неустойчивы, легко тримеризуются, напр.:
1020-63.jpg

Длина связи C=N 0,129-0,131 нм, энергия 6 кДж/моль; расчетное значение1020-64.jpg 3,0*10-30 Кл-м. ИК-спектр: VNH 3400-3300 см-1, vC=N 1650-1640, 1635-1620 и 1603 см-1 соотв. для алифатич., жирноароматич. и ароматич. кетиминов.

Альдимины и кетимины - слабые основания (напр., для дифенилкетимина рКа7,18); образуют с к-тами в безводной среде иминиевые соли, напр. (С6Н5)2С=1020-65.jpgН2Сl. При взаимод. с алкилга-логенидами превращаются в N-замещенные альдимины и кетимины - основания Шиффа RR'C=NR", при ацилировании-в N-ацилпроизводные RR'C=NCOR", при р-ции с гипохлоритами - в неустойчивые N-хлорпроизводные, перегруппировывающиеся в1020-66.jpgаминокетоны:
1020-67.jpg

С солями металлов альдимины и кетимины образуют внутрикомплексные соединения [особенно прочные, если в исходных молекулах содержится протонодонорная группа в1020-68.jpg (или орто)-положе-нии к группе C=N], например:

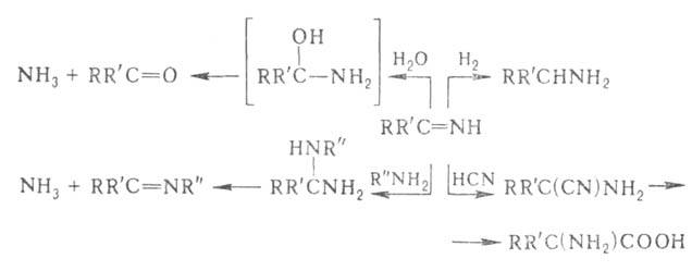
Нуклеофилы присоединяются к альдиминам и кетиминам (особенно легко к соответствующим иминиевым солям) по связи С—N. Схема нек-рых превращений альдиминов и кетиминов приведена ниже:
1021-1.jpg

Р-цию с HCN используют для лаб. и пром. получения аминокислот (см. также Штреккера реакции).

Альдимины синтезируют восстановлением нитрилов: действием SnCl2 в присут. НС1 в среде эфира (р-ция Стефена); комплексными гидридами металлов NaAlH4, NaBH4, NaAl(C2H5O)3H; водородом на катализаторах. Последнюю реакцию удается остановить на стадии образования альдиминов, если возникает комплекс альдимина с катализатором (как, например, при получении салицилальдимина).

Кетимины синтезируют присоединением к нитрилам металлоорг. соед. (Mg, Li, Zn, A1), напр.:
1021-2.jpg

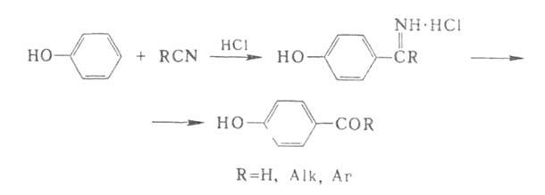
Альдимины и кетимины получают также взаимод. фенолов и их эфиров с HCN или нитрилами (кат.-хлориды Zn, Cu, Fe):
1021-3.jpg

Гидролизом образовавшихся продуктов в пром-сти получают альдегиды и кетоны (см. также Гаттермана синтез, Хеша реакция).

Ароматические кетимины получают: пропусканием NH3 через расплав кетона или взаимодействием NH3 и кетона в присутствии ThO2; р-цией кетонов с фосфинимидами (Штаудингера р-ция):
1021-4.jpg

взаимод. NH3 с дигалогенпроизводными кетонов, напр. с дифенилдихлорметаном (С6Н5)2СС12.

Альдимины и кетимины определяют: титрованием хлорной к-той в неводных средах (хлороформ, диоксан, ацетонитрил); по кол-ву карбонильных соед., образующихся при гидролизе; полярографически.

Альдимины и кетимины-промежут. продукты нек-рых р-ций (напр., Лей-карта, Соммле). Ароматич. альдимины и кетимины, содержащие в орто-положении гидроксигруппу (напр., салицилальдимин, о-гидроксиацетофенонимин),-хелатообразующие агенты. Комплексы этих альдиминов и кетиминов с Си или Со-катализаторы окисления фенолов кислородом до хинонов, комплексы с Ti или W-сокатализаторы полимеризации непредельных соед. на алюминийорг. соединениях.

Лит.. Зильберман Е.Н., Реакции нитрилов, М., 1972; Общая органическая химия, пер. с англ., т. 3, М., 1982, с. 476-646. Д.В. Иоффе.