Оппенауэра реакция
ОППЕНАУЭРА РЕАКЦИЯ (окисление по Оппенауэру), окисление (дегидрирование) первичных и вторичных спиртов до карбонильных соед. действием др. карбонильного соед. в присут. алкоголята металла:

Р-цию осуществляют в мягких условиях. Катализаторы -изопропилаты, трет-бутилаты, феноляты Аl, К, Na или Zr(II), смешанные алкоголяты редкоземельных металлов (изо-С3Н7ОСеI2, трет-C4H9OSmI2), Mg, Al; промоторы -вторичные алифатич. амины.
Оппенауэра реакция является обратной по отношению к Меервейна-Понн-дорфа-Верлея реакции (восстановление карбонильных соед.). Положение равновесия определяется различием в окислит.-восстановит. потенциалах реагирующих соединений. Равновесие сдвигают вправо применением избытка исходного карбонильного соед. и(или) выведением образующегося соед. из сферы р-ции, а также использованием карбонильных соед. с высоким окислит.-восстановит. потенциалом. Первый способ применяют гл. обр. при окислении вторичных спиртов (преим. окисляется экваториальная гид-роксигруппа), напр. холестерина:

При окислении первичных спиртов их целиком переводят в алкоголяты и дегидрируют действием альдегида, кипящего при т-ре на 50 °С выше продукта р-ции, отгоняя последний из реакц. массы, напр.:

Используя соед. с высоким окислит.-восстановит. потенциалом (напр., бензохинон), можно проводить окисление при невозможности использования др. вариантов Оппенауэра реакции (напр., при получении хининона из хинина). Выходы карбонильного соед. до 90%.
Оппенауэра реакция позволяет окислять спирты, содержащие кратные связи, галогены, ацетальные, сложноэфирные и др. лабильные группы. Побочные р-ции - миграция аллильной двойной связи в
,
-положение к карбонилу (напр., при окислении холестерина, см. выше) и альдольная конденсация образующегося альдегида с кетоном - акцептором водорода (последнюю р-цию иногда используют в синтетич. целях).
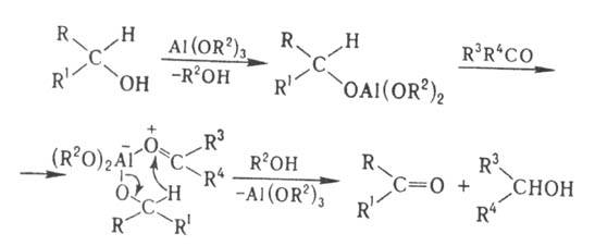
Механизм р-ции включает превращ. окисляемого спирта в алкоголят, координацию алкоголята с карбонильным соед. и переход гидрид-иона (эта стадия определяет скорость р-ции) в образовавшемся промежут. комплексе:

Модификация Оппенауэра реакции-проведение р-ции без алкоголятов в присут. активированного Аl2О3, гидридов щелочных металлов, скелетного Ni или комплексных соед. переходных металлов (эти р-ции осуществляют в гетерог. условиях), а также использование в р-ции карбонильных соед. с высоким окислит, потенциалом (напр., тетрахлорбензохи-ноны, 2,3-дихлор-5,6-дицианобензохинон) без катализаторов.
Оппенауэра реакцию применяют в лаб. и пром. синтезе, особенно в химии стероидов, витаминов, алкалоидов. А. Верлей и В. Понн-дорф в 1925-26 показали обратимость открытой ими р-ции восстановления карбонильных соед., Р. Оппенауэр в 1937 широко это использовал в химии стероидов.
Лит.: Джерасси К., в кн.: Органические реакции, пер. с англ., сб. 6, М., 1953, с. 235-300; Общая органическая химия, пер. с англ., т. 2, М., 1982, с. 103-05; Houben-Weyl, Methoden der organischen Chemie, 4 Aufl., Bd 4, Tl Ib, Stuttg., 1975, S. 904-33. Д В. Иоффе.