Пироны
ПИРОНЫ (кетопираны, оксопираны), мол.м. 96,08. Различают a-пирон (2H-пиран-2-он, кумалин; ф-ла I) и g-пирон (4H-пиран-4-он, пирокоман; II).

a-Пирон -бесцв. жидкость с запахом свежего сена; т. пл. 8-90C, т. кип. 206-2090C, 102-103 0C/20 мм рт. ст.;
1,1972;
1,5298; раств. в орг. р-рителях; при хранении медленно полимеризуется; слабое основание, под действием сильных к-т протонируется по атому О цикла.
g-Пирон -бесцв. кристаллы; т. пл. 330C. т. кип. 105°С/23 мм рт. ст.;
1,1900;
1,5238; хорошо раств. в воде, диэтиловом эфире, хуже-в этаноле; слабое основание, при протонировании образует гидролизую-щиеся соли, напр. гидрохлорид (т. пл. 1390C), пикрат (т. пл. 1290C).
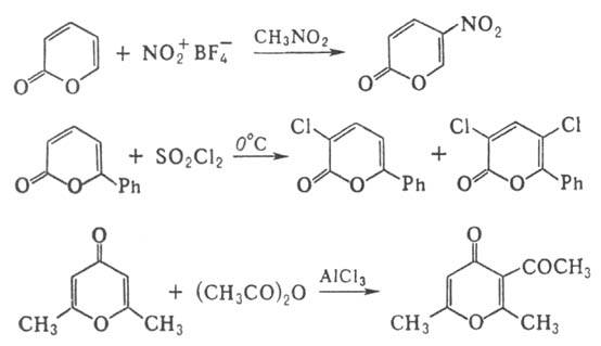
В молекулах пиронов p-электроны двойных связей цикла дело-кализованы и находятся в сопряжении с неподеленной электронной парой атома О цикла и карбонильной группой. Электроф. замещение в пиронах происходит по положениям 3 и 5, напр.:

a-Пирон и его производные обладают св-вами непредельных d-лактонов и легко вступают в р-ции нуклеоф. замещения, к-рые обычно сопровождаются раскрытием цикла, напр, легко гидролизуются в присут. щелочей по связи С—О цикла:

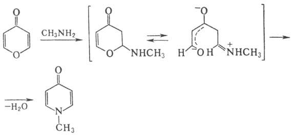
При действии NH3 или первичных аминов a- и g-пироны превращ. в пиридоны, напр.:

Гидрирование a-пирона и его производных в присут. Pd/С приводит к насыщ. d-лактонам (тетрагидро-2-пиранонам) с небольшой примесью продуктов гидрогенолиза, гидрирование g-пирона и его производных-к продуктам полного восстановления - 4-гидрокситетрагидропиранам.
a-Пирон легко вступает в диеновый синтез, при УФ облучении количественно изомеризуется:

g-Пирон и его производные в отличие от a,b-ненасыщ. кетонов с трудом вступают в р-ции присоединения и, как правило, не образуют производных по карбонильной группе (оксимов, фенилгидразонов, оснований Шиффа). Для них характерна способность под действием HClO4 или ее производных превращ. в соли пирилия, напр.:

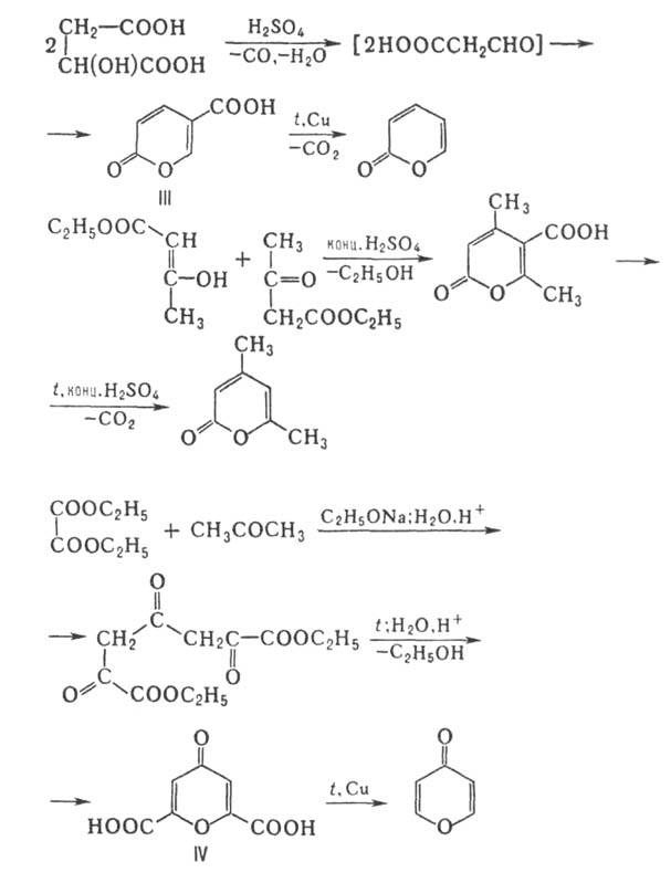
Получают a- и g-пироны декарбоксилированием в присут. меди соотв. кумалиновой (ф-ла III) и хелидоновой (IV) к-т; последние синтезируют по р-циям циклоконденсации. Аналогично получают и производные пиронов, напр.:
2,6-Диметил- g-пирон м. б. получен из уксусного ангидрида по р-ции:

Пироны-структурные фрагменты нек-рых алкалоидов, напр. янгонина (4-метокси-6-n-метоксистирил-a-пирон), каваина (4-метокси-6-стирил-5,6-дигидро-a-пирон), стероидов, стимулирующих сердечную деятельность (напр., сцилларен А), флавоноидов буфотоксина, ксантона и др. (см. также Флавоны).
Лит.: Гетероциклические соединения, под ред. P. Эльдерфилда, пер. с англ., т. I, M., 1953, с. 269-310; "Успехи химии". 1967, т. 36, в. 3, с. 437-74; Дрыгина О. В., Гарновский А. Д., Казанцев А. В., там же, 1985, т. 54, в. 12, с. 1971- 96; Van der Plas H. S., Streef J. W., Aromatic and heteroaromatic chemistry, v. 5, L., 1977, p. 163-259. P. А. Караханов, В. И. Келарев.