Тиоцианаты неорганические
ТИОЦИАНАТЫ НЕОРГАНИЧЕСКИЕ (неорг. роданиды), соли тиоциановой к-ты. Тиоциановая к-та (роданисто-водородная к-та) HNCS - желтоватая жидкость с т. пл. -110°С; длины связей (нм) 0,09887 (H—N), 0,21164 (N—С) и 0,15605 (С—S), угол HNC 134,98°. Ранее считали, что тиоциановая к-та является смесью двух таутомеров: HSC==N (тиоциановая) и HN=C=S (изотиоциановая); в настоящее время установлено, что к-та имеет строение HNCS;
48,16 Дж/(моль·К);
104,6 кДж/моль;
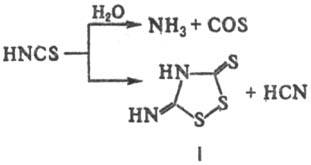
247,36 Дж/(моль·К). В интервале от —90 до — 85 °С поли-меризуется в бесцв. кристаллич. массу, при осторожном нагревании к-рой в вакууме образуется родануровая к-та (HNCS)3, легко разлагающаяся до HNCS при 3-5 °С. HNCS хорошо раств. в воде, этаноле, диэтиловом эфире и бензоле. В водных р-рах (устойчивы при концентрации HNCS менее 5%) сильно диссоциирована (рКа 0,85 при 18 °С), в конц. р-рах разлагается с образованием т. наз. ксантенового водорода (ф-ла I) и др. продуктов:

При восстановлении HNCS водородом (Zn + HC1). в момент образования образуются метиламин и 1,3,5-тритиан. HNCS окисляется КМпО4, Н2О2, Вr2 соотв. до H2SO4, HCN и BrCN. Мягкое окисление приводит к тиоциану (родану) (SCN)2, обладающему св-вами псевдогалогенидов. Сероводородом HNCS разлагается до CS2 и NH3, присоединяется к ненасьпц. соединениям.
Тиоциановая к-та образует два ряда эфиров (см. Тиоциа-наты органические) и солей, имеющих строение тиоцианатов и изотиоцианатов.
Тиоцианаты - кристаллич. в-ва (см. табл.). Тиоцианаты щелочных металлов и аммония имеют структуру изотиоцианатов, для тиоцианатов др. металлов возможна координация по атому S.
Наиб. характерные р-ции-окисление, восстановление, га-логенирование, а также обменные р-ции с др. тиоцианатами, напр.:
NH4NCS + О2 + Н2O : NH4HSO4 + HCN
KNCS + Fe : KCN + FeS
NaNCS + Zn + HC1 : CH3NH2 · HC1 + NaCl + ZnCl2
KNCS + Br2 + H2O : BrCN + K2SO4 + HBr
2KNCS + Pb(NO3)2 : Pb(SCN)2 + 2KNO3
Тиоцианаты образуют комплексные соед., в к-рых.металл в зависимости от донорно-акцепторных св-в лиганда может координироваться как по атому N, так и по атому S. Тиоцианаты щелочных металлов и аммония разлагаются при натр., напр.:

Термич. изомеризация NH4NCS положена в основу пром. получения тиомочевины:

Тиоциановая к-та содержится в соке лука Allium соера и в корнях др. растений. Тиоцианаты в небольших кол-вах найдены в слюне и в желудочном соке животных. В слюне человека содержится в среднем 0,01% SCN-, в крови-ок. 1,3 мг в 100 мл в виде KNCS. Токсичность тиоцианатов сравнительно невелика. ЛД50 (мыши, перорально) для NH4NCS, KNCS и NaNCS соотв. равны 720, 590 и 370 мг/кг. Тиоцианаты раздражают кожу, при длит. воздействии угнетают щитовидную железу, поражают почки. NH4NCS вызывает явление ксантопсии (видение предметов в желтом цвете). ПДК для NH4NCS 5, а для NaNCS 10 мг/м3. Токсичность других тиоцианатов, напр. Pb(SCN)2 или Hg(SCN)2, во многом определяется физиол. воздействием входящего в них металла.
Осн. методы получения HNCS-взаимод. RNCS с KHSO4 или ионный обмен водных р-ров NH4NCS. Родан (тиоциан) обычно получают по р-циям:
Cu(SCN)2 : CuSCN + 0,5(SCN)2 Hg(SCN)2 + Вr2 : HgBr2 + (SCN)2
Тиоцианаты щелочных металлов и аммония получают при улавливании цианистых соед., содержащихся в коксовом газе, р-рами соответствующих полисульфидов. Кроме того, NH4NCS получают взаимод. NH3 с CS2, a KNCS и NaNCS-сплавлением KCN или NaCN с серой. Другие тиоцианаты синтезируют обменной р-цией сульфатов, нитратов или галогенидов металлов с тиоцианатами бария, К или Na, взаимод. гидроксидов или карбонатов металлов с HNCS.
Тиоцианаты используют в произ-ве тиомочевины, в качестве реагентов при крашении и печатании тканей, компонентов проявителей в фотографии, аналит. реагентов в роданометрии и меркуриметрии, для приготовления прядильных р-ров в произ-ве акриловых волокон, для получения орг. тиоциа-натов, как стабилизаторы горения в произ-ве ВВ, инсектициды и фунгициды. Тиоцианатные комплексы используют в фотометрич. анализе для определения Со, Fe, Bi, Mo, W, Re, в технологии редких металлов для разделения Zr и Hf, Th и Ti, Ga и Аl, Та и Nb, Th и La, для получения спектрально чистого La. Тиоцианаты Nb(V) и Ta(V)-катализаторы р-ции Фриделя - Крафтса. См. также Аммония тио-цианат, Натрия тиоцианат.
Лит.: Химия псевдогалогенидов, пер. с нем., К., 1981. С. К. Смирнов.