Эфиры фосфорной и замещенных фосфорных кислот
Полные эфиры ортофосфорной кислоты с хорошими выходами получаются окислением триалкилфосфитов или действием алкоголята натрия на хлорокись фосфора:

Триэтилфосфат — бесцветная, почти без запаха, жидкость, кипящая при 215° С. Довольно хорошо растворяется в воде.
Полные эфиры фосфорной кислоты образуются также при действии галоидных алкилов на фосфат серебра.
Кроме полных эфиров, известны также два ряда кислых эфиров фосфорной кислоты, например типа диэтилфосфата (С2Н5О)2РО—ОН и моноэтилфосфата С2Н5О—РО(ОН)2. Известны также эфиры галоидфосфорных кислот. Диизопропиловый эфир фторфосфорной кислоты очень ядовит и является боевым отравляющим веществом.
За последние годы широкое применение получили смешанные эфиры тиофосфорной кислоты, которые используются в сельском хозяйстве для борьбы с вредителями растений. Вещества, используемые для борьбы с вредными насекомыми, обычно называют инсектицидами, а средства борьбы с клещами — акарицидами. Инсектициды, которые убивают насекомое, проникая через поверхность тела насекомого, чаще всего называют контактными инсектицидами.
Некоторые смешанные эфиры тиофосфорной кислоты обладают способностью проникать в растение (через корни или через листья) и передвигаться по сосудистой системе растения. Растение, обработанное такими препаратами, на более или менее длительный срок приобретает способность убивать питающихся его соками вредителей растений. Препараты, делающие растение ядовитым для вредителей на длительные сроки, называют системными (или внутрирастительными инсектицидами.
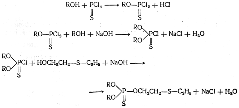
Из эфиров тиофосфорной кислоты в Советском Союзе широкое применение нашли два препарата: метилмеркаптофос и меркаптофос, представляющие собой смеси тионфосфорных и тиолфосфорных эфиров:

В промышленности они получаются по следующим реакциям:

Эти препараты являются очень эффективными инсектицидами и при норме расхода 0,5—1 кг на 1 га в течение длительного срока предохраняют растения от большинства сосущих вредителей. Практическое применение получил и ряд других смешанных эфиров тиофосфорной и дитиофосфорной кислот.
Соли кислых эфиров дитиофосфорной кислоты (с достаточно длинными радикалами R) применяются для флотации некоторых руд, а также в качестве добавок к минеральным смазочным маслам для улучшения их качества. Эти соли получаются следующим путем: