Пиразол
ПИРАЗОЛ (1,2-диазол), мол. м. 68,08; бесцв. кристаллы со своеобразным запахом; т.пл. 700C, т. кип. 185-1870C; плотн. 1,002 г/см3;
1,4703; m7,39·10 -30 Кл·м; хорошо раств. в воде, хуже-в бензоле и цикло-гексане (соотв. 130,18 и 3 г в 100 мл). Обладает слабыми основными св-вами, амфотерен, рКа 2,47. Молекулы пиразола плоские и сильно ассоциированы благодаря водородным связям. Для димера пиразола характерна прототропная таутомерия, приводящая к полной идентичности 3- и 5-замещенных:


Характер заместителя обычно влияет на положение тауто-мерного равновесия.
Пиразол обладает ароматич. св-вами, к-рые связаны с наличием 6p-электронной сопряженной системы. Наиб. электронная плотность в положении 4, наименьшая - в положениях 3 и 5. Р-ции электроф. замещения протекают обычно по атому С-4. Алкилирование или ацилирование 1-замещенных пиразола приводит к смеси 1,3- и 1,5-производных. 1-Замещенные пиразола образуют четвертичные соли по атому N-2, отщепляющие при нагр. алкильные заместители и распадающиеся при сплавлении со щелочами до 1,2-диалкилгидразинов:

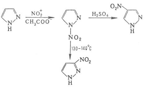
Нитрование пиразолов, незамещенных по атому 1 и содержащих в положении 4 электроноакцепторную группу, приводит к 1-нитропроизводным, к-рые (если положение 4 свободно) при обработке конц. H2SO4 дают 4-нитропиразолы, а при нагр. в высококипящем р-рителе претерпевают 1,5-сигмат-ропную перегруппировку с образованием 3-нитропроизвод-ного:

Замещенные пиразола легко галогенируются под действием разл. агентов в 4-галогенопроизводные; в более жестких условиях м. б. получены дигалогенопроизводные, напр.:

Обмен атомов H. на дейтерий легко протекает в нейтральной среде по положениям 1 и 4, в присут. оснований-по положениям 3 и 5. Гидрирование пиразола в присут. Pd (1500C, 10 МПа) или восстановление Na в спирте приводит последовательно к 2-пиразолину (ф-ла I) и пиразо-лидину(II):

Обратный процесс м. б. реализован при окислении соед. I и II действием Br2 , KMnO4, PbO2 , а также в присут. S или Se при 200-2200C.
Получают пиразол и его производные взаимод. гидразина и его производных с 1,3-дикарбонильными соед., напр.:

Часто для получения пиразола используют также 1,3-диполярное присоединение диазоалканов к ацетиленам, напр.:

Идентифицируют пиразол в виде пикрата (т. пл. 1600C) или оксалата (т. пл. 1920C).
Пиразол и его производные-промежут. продукты в синтезе лек. препаратов (гл. обр. на основе 5-пиразолона - анальгин, амидопирин, антипирин) и пестицидов; красители для цветной фотографии, орг. люминофоры.
Лит.. Гетероциклические соединения, под ред. P. Эльдерфилда, пер. с англ., т. 5, M., 1961; Пожарский А. Ф., Теоретические основы химии гетеро-циклов, M., 1985; Общая органическая химия, пер. с англ., т. 8, M., 1985, с. 429-80. Я. И. Грандберг