Многоосновные многоатомные оксикислоты. Лимонная кислота
Из двухосновных многоатомных оксикислот наиболее важными и интересными являются триоксиглутаровые кислоты

и тетраоксиадипиновые кислоты

Двухосновные оксикислоты высшей атомности имеют близкое отношение к простейшим углеводам, и различные их стереоизомерные формы получаются обыкновенно окислением различных моносахаридов. Свойства некоторых из этих кислот будут описаны в разделе об углеводах.
Лимонная кислота. Лимонная, или окситрикарбаллиловая, кислота (2-оксипропан-1,2,3-трикарбоновая кислота)

чрезвычайно распространена в растительном мире. Так, она содержится в плодах крыжовника, малины, в свекловичном соке, в корнях, листьях, а также в плодах многих других растений. Вместе с винной и яблочной кислотами она содержится также и в виноградном соке. Но особенно много ее имеется в недозрелых лимонах (6—7%), откуда она может быть легко выделена в виде средней кальциевой соли, трудно растворимой в холодной воде и легко растворимой в горячей. Одним из технических способов ее получения является брожение глюкозы под действием плесневых грибков лимоннокислого брожения (Citromyces Pfefferianus, Citromyces graber). Кроме того, лимонную кислоту извлекают из махорки, где она находится в виде соединения с никотином.
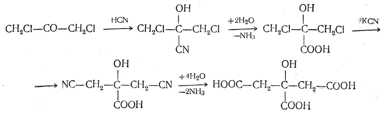
Синтетически лимонную кислоту можно получить из дихлорацетона следующим рядом реакций:

Из водных растворов лимонная кислота кристаллизуется с одной молекулой воды в виде больших ромбических призм. Она легко растворима в воде и спирте, трудно — в эфире. Гидрат ее плавится между 70—75° С; безводная же кислота, полученная высушиванием при 130° С, имеет т. пл. 153° С. Интересно, что безводная лимонная кислота при перекристаллизации из воды снова выделяется в виде безводных кристаллов.
При нагревании до 175° С лимонная кислота отщепляет воду и превращается в ненасыщенную аконитовую кислоту, а при перегонке теряет СО2 и дает смесь ангидридов цитраконовой и итаконовой кислот.
При действии на лимонную кислоту серной кислоты происходит типичное для α-оксикислот отщепление муравьиной кислоты, причем образуется ацетондикарбоновая кислота НООС—СН2—СО—СН2—СООН.
Лимонная кислота применяется при крашении и ситцепечатании, в медицине в виде соли (цитрат железа), а главные образом при приготовлении напитков и кондитерских изделий для придания им приятного кислого вкуса.