Итаконовая кислота

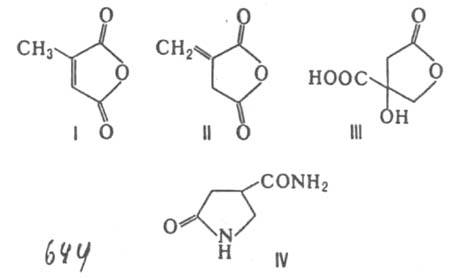
ИТАКОНОВАЯ КИСЛОТА (метиленбутандиовая к-та, метиленянтарная к-та) СН2=С(СООН)СН2СООН, мол. м. 130,1; т. пл. 172°С; m 7,49.10-30 Кл.м; DH0обр -840 кДж/моль; К1 1,40.10-4, К2 3,56.10-6 в воде при 25°С. Р-римость в воде (г на 100 г): 8,3 (20 °С), 29,3 (50 °С), 72,6 (70 °С). Раств. в этаноле, метаноле, ТГФ, диоксане, плохо раств. в диэтиловом эфире, бензоле. При нагр. выше т-ры плавления итаконовая кислота образует цитраконовый ангидрид (ф-ла I), т. кип. 99-100°С/15 мм рт. ст., при обработке уксусным ангидридом, ацетилхлоридом или тионилхлоридом - итаконовый ангидрид (II), т. пл. 68 °С. Действие РСl5 на к-ту или ее ангидрид приводит к образованию дихлорангидрида, т. пл. 58-59 °С. Итаконовая кислота легко этерифицируется с образованием моно- и диэфиров. Присоединяет по двойной связи Наl2 и ННаl против правила Марковникова. КМnО4 окисляет итаконоую кислоту до гидроксипираконовой к-ты (III). Диметиловый эфир итаконовой кислоты с NH3 образует соед. IV. Итаконовая кислота, ее ангидрид, моно- и диэфиры легко полимеризуются и сополимеризуются с винилиденхлоридом, акрилонитрилом и др. В отличие от итаконовой кислоты ее ангидрид не вступает в диеновый синтез.
261_280-41.jpg
Получают итаконовую кислоту ферментацией углеводов (сахароза, глюкоза, меласса) с помощью грибов Aspergillus terreus, а также синтетически: карбонилированием аллена, пропаргилового спирта или пропаргилхлорида. Итаконовая кислота образуется при нагр. лимонной к-ты. Применяют итаконовую кислоту в произ-ве пластификаторов (напр., дибутилитаконата), присадок к смазочным маслам (напр., сополимеров эфиров итаконовой кислоты и высших спиртов с алкилакрилатами). Эфиры итаконовой кислоты (итаконаты): диметиловый, т. пл. 38 °С, т. кип. 200 °С, d420 1,1246, nD20 1,4457; диэтиловый, т. кип. 155°С/95 мм рт. ст., d420 1,0459, nD20 1,4398.
Литература
Ullmanns Encyclopedic, 4 Аufl., Bd. I, Weinheim, [1972], S. 133-60; то же, Bd. 10, [1975], S. 135-43; Klrk-Othmer encyclopedia, 3 ed., v. 13, N.Y., 1981, p. 865.
И. В. Хвостов.

Синонимы/примеры:* Метиленянтарная кислота; Итан-1,2,2-трикарбоновая кислота
*подобраны ИИ, возможны неточности
Ещё по теме
Итаконовая кислота — характеристики и применение
Тиоуксусная кислота — свойства и применение
Трифторуксусная кислота — свойства и применение
Трифторуксусная кислота — характеристики и применение
Тиокарбоновые кислоты — свойства и применение
Тиогликолевая кислота — свойства и применение
Трифторуксусная кислота — свойства и характеристики
Трифторнадуксусная кислота — особенности и применение
Хинолиновая кислота — свойства и получение
Рицинолевая кислота — свойства и применение
Производные янтарной кислоты — свойства и применение
Тиосалициловая кислота — свойства и применение
Циановая кислота — характеристики и применение
Кротоновые кислоты — свойства и применение
Циануксусная кислота — характеристики и применение
Цитраконовая и мезаконовая кислоты — свойства и применение
Тиоуксусная кислота — характеристики и применение
Реакции двухосновных кислот — итаконовая, цитраконовая и мезаконовая