Оксазолины
ОКСАЗОЛИНЫ (дигидрооксазолы), мол.м. 71,09. Различают 2-, 3- и 4-оксазолины (ф-лы соотв. I-III). Наиб. практич. значение имеют замещенные производные 2-оксазолинов; 3- и 4-оксазолины изучены мало. Оксазолины и их замещенные - бесцв. жидкости или кристаллы с запахом пиридина (см. табл.); раств. в воде и орг. р-рите-лях. Оксазолины-слабые основания; для 2-оксазолинов рКа 5,5.

2-Оксазолины обладают св-вами циклич. иминоэфиров. Большинство замещенных 2-оксазолинов довольно устойчивы к действию горячей воды, многие из них перегоняются с водяным паром; незамещенный 2-оксазолин в этих условиях быстро гидролизуется в N-(2-гидроксиэтилен)формамид, 2-фенил-2-оксазолин при продолжит. кипячении превращ. в N-(2-гидроксиэтил)бензамид:

СВОЙСТВА НЕКОТОРЫХ ОКСАЗОЛИНОВ
| Заместитель | Мол. м. | Т. пл., °С | Т. кип., °С/мм рт.ст. | ||
| | 2-Оксазолины | | |||
| Незамещенный | 71,09 | _ | 98* | ||
| 2-Метил- | 85,10 | _ | 108-110 | ||
| 2-Фенил- | 147,17 | _ | 117-120/5 | ||
| 2-(2-Фурил)- | 137,13 | 82-83 | - | ||
| 2-Трихлорметил-4,4-диметил-2,5-Дифенил- | 216,49 223,26 | 58-59 | 125-127/0,1 | ||
| 2-Аллиламино- | 112,15 | - | 1,05/1,0 | ||
| | 3-Оксазолины | | |||
| 4-Амино-2,2,5,5-тетракис (трифторметил)- | 379,11 | 130-132 | - | ||
| 4-Этокси-2,2,5,5-тетракис (трифторметил)- | 372,14 | - | 136 | ||
* d2020 1,075
С сильными к-тами 2-оксазолины образуют неустойчивые соли, к-рые при нагр. до т-ры плавления или под действием Н2О разлагаются с раскрытием цикла, напр.:

Кислотный или щелочной гидролиз 2-оксазолинов происходит с раскрытием цикла по связи О—С-2, р-ции с уксусным ангидридом или фенолом-с разрывом связи О—С-5:

Хлорирование на холоду 2-арилпроизводных протекает с раскрытием цикла, бромирование в аналогичных условиях-без раскрытия, напр.:

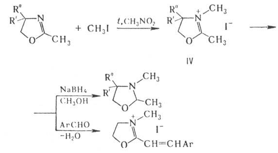
С алкилгалогенидами замещенные 2-оксазолинов образуют реак-ционноспособные соли оксазолиния (напр., ф-лы IV); эти соед. легко восстанавливаются под действием NaBH4 до производных оксазолидина и конденсируются с ароматич. альдегидами, напр.:

С этиленоксидом в присут. LiCl 2-замещенные 2-оксазолинов образуют 5-замещенные 1-аза-4,6-диоксабицикло[3.3.0]октана:

В условиях катионной полимеризации при нагр. (60-70 °С) в присут. SnCl4, эфирата BF3, HClO4 и др. 2-замещенные 2-оксазолинов полимеризуются с раскрытием цикла по связи О—С-5 в N-ацилзамещенные полиэтиленимины с мол.м. 3500-100000. В аналогичных условиях 2-алкенил-2-оксазолины образуют полимеры, содержащие в цепи фрагменты 2-оксазолинов; 2-изопропенил-2-оксазолины образуют сополимеры с бутил-акрилатом или метилметакрилатом.
Получают 2-оксазолин и его замещенные конденсацией
-амино-спиртов с карбоновыми к-тами, сложными эфирами, имино-эфирами (выход 90-95%), амидинами и др., напр.:

Др. методы синтеза 2-оксазолинов:

Замещенные 3-оксазолинов получают нагреванием а-гидроксикето-нов с NH3 в уксусной к-те или ароматич. альдегидами в присут. NH4Cl:

Замещенные 2-оксазолинов, гл. обр. 2-алкил-4,4-диалкилпроизвод-ные,-присадки к топливам и маслам, антистатики для полиолефинов и текстильных изделий, ингибиторы коррозии (напр., 2-гептадецил-4,4-диметил-2-оксазолины), стабилизаторы для ПВХ, пластификаторы каучуков и ВВ, фотосенсибилизаторы (напр., 2,4-диметил-4-ацетилокси-2-оксазолины), антивспенива-тели, вулканизирующие агенты и т.д. Соли 2-алкил-2-оксазолинов (R = С9-С17) и орг. к-т-катионные ПАВ и защитные покрытия для металлов (наиб. эффективны соли рицинолевой к-ты). Нек-рые производные 2-оксазолинов проявляют биол. активность [напр., антибиотик хлорамфеникол - 2-дихлорметил-4-гидроксиметил-5-(4-нитрофенил)-2-оксазолин и 2-алкил(арил)-4,4-диметил-2-оксазолин]; N-замещенные 2-амино-2-оксазолинов оказывают действие на центр, нервную систему; 2-замещенные 4-метил-4-гидроксиметил-2-оксазолинов-регуляторы роста растений.
Лит.: Гетероциклические соединения, под ред. Р. Эльдерфилда, пер. с апгл., т. 5, М., 1961, с. 302; Frump J. A., "Chem. Rev.", 1971, v. 71, № 5, p. 483-505.
P. А. Караханов, В. И. Келарев.