Аллильные комплексы переходных металлов

АЛЛИЛЬНЫЕ КОМПЛЕКСЫ ПЕРЕХОДНЫХ МЕТАЛЛОВ. В1019-15.jpgаллильных комплексах металл связан со всеми тремя атомами С лиганда, имеющего делокализованную систему1019-16.jpgэлектронов; считают, что1019-17.jpgаллильный лиганд занимает в координац. сфере металла два координац. места. Существуют также1019-18.jpgаллильные производные, в к-рых металл связан только с1019-19.jpgуглеродным атомом аллильной группы. Такие соед.-частный случай комплексов переходных металлов с1019-20.jpgсвязью металл-углерод.

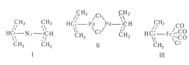
Основные типы аллильных комплексов: 1) гомолигандные, содержащие в молекуле только аллильные группы, напр. бис-(1019-21.jpg-аллил)-никель (ф-ла I) (такие комплексы известны для большинства переходных металлов); 2) мономерные и димерные аллилметаллгалогениды, наиб. характерные для Pd и Ni, напр. ди-1019-22.jpg-хлоро-бис-(1019-23.jpgаллил)палладий (ф-ла II); 3) аллилкарбонилметаллы, образуемые гл. обр. Mo, W, Mn, Fe, Co, напр. (1019-24.jpg-аллил)(трикарбонил)хлорожелезо (ф-ла III). Получен, кроме того, ряд комплексов, содержащих, помимо1019-25.jpg-аллильного, циклопентадиенильные, диеновые, ареновые и др. орг. лиганды.
1019-26.jpg

Св-ва аллильных комплексов изменяются в широких пределах, напр. I-светло-оранжевая жидкость с т. пл. 1 °С, II и III-твердые желтые в-ва с т. пл. 152-155 и 58 °С (в обоих случаях с разложением). Большинство гомоаллильных комплексов существует только при низких т-рах. Многие из них пирофорны, а соответствующие им аллилгалогениды достаточно устойчивы к окислению.

Хим. превращения аллильных комплексов сопровождаются в большинстве случаев разрушением связи металл-лиганд. Так, при окислит. сольволизе аллилпалладийгалогенидов образуются олефины, альдегиды и кетоны, при щелочном гидролизе-олефины. Эти многостадийные р-ции включают автокатализ продуктами распада комплексов и идут с участием р-рителя. Гидрогенолиз комплексов приводит к их разложению с образованием алканов. При действии СО, фосфинов, фосфитов и др. электронодонорных соединений аллильные комплексы частично или полностью разрушаются, напр.:
1019-27.jpg

Аллильные комплексы-промежут. соединения во мн. р-циях непредельных соединений, к-рые идут в присут. комплексов переходных металлов, напр. карбонилировании, изомеризации, гидрировании, окислении, олиго- и полимеризации. Важная роль аллильных комплексов в этих процессах обусловлена их способностью легко вступать в р-ции с СО, олефинами, ацетиленами и др. ненасыщенными соединениями. Такие р-ции внедрения по связи металл-лиганд через промежут.1019-28.jpgаллильные производные часто являются ключевыми в каталитич. процессах.

В спектрах ЯМР нек-рых аллильных комплексов наблюдается магнитная эквивалентность всех терминальных протонов (т. наз. дина-мич. аллильные системы), что объясняется быстрыми и обратимыми переходами комплексов в1019-29.jpgаллильные производные, межмол. обменом, вращением аллильного лиганда и др.

Методы синтеза аллильных комплексов:

1. Взаимод. солей металлов, гл. обр. галогенидов, с ал-лильными производными Na, Li, Mg, Sn, Zn, В, Hg. Метод применим прежде всего для синтеза гомоаллильных комплексов, напр.: NiBr2 + 2C3H5MgBr -> [Ni(C3H5)2]. Аналогично получают нек-рые аллилгалогенидные, аллилкарбонильные и аллилциклопентадиенильные комплексы, напр.:
1019-30.jpg

2. Взаимод. аллилгалогенидов или аллиловых спиртов с металлами, их солями, карбонилами или др. производными. Напр., обработкой водно-метанольного р-ра PdCl2 или Na2PdCl4 аллилхлоридами и СО получают аллилпалла-дийхлориды:
1019-31.jpg

Р-цией карбонилов металлов с аллилгалогенидами синтезируют аллилкарбонилметаллы: Fe(CO)5 + С3Н5Х -> [Fe(X)(CO)3(C3H5)].

3. Взаимод. моно- или диолефинов с солями, карбонилами металлов и их производными, напр.:
1019-32.jpg

4. Превращение в1019-33.jpgаллильные др. лигандов, гл. обр. координированных диенов:
1019-34.jpg

Формально к этому же методу можно отнести перегруппировку1019-35.jpgаллильных производных карбонилов металлов в1019-36.jpgаллильные, напр.:
1019-37.jpg

где M=Fe, Mo, W; n = 2, 3.

Аллильные комплексы-высокоактивные и избирательные катализаторы, напр. бис-(1019-38.jpg-аллил)никель - циклим, тримеризации бутадиена в 1,5,9-циклододекатриен,1019-39.jpgаллилникельгалогениды — стереоспецифич. полимеризации 1,3-бутадиена.

Литература

Крицкая И.И., в кн.: Методы элементоорганической химии. Типы металлоорганических соединений переходных металлов, под ред. А.Н. Несмеянова, К.А. Кочешкова, кн. 2, М., 1975, с. 734-908. Л.В. Рыбин.

Синонимы/примеры:* π-аллильные комплексы; σ-аллильные комплексы
*подобраны ИИ, возможны неточности