Тейхоевые кислоты
ТЕЙХОЕВЫЕ КИСЛОТЫ (от греч. teichos-стена), углеводные фосфатсодержащие полимеры бактериального происхождения.
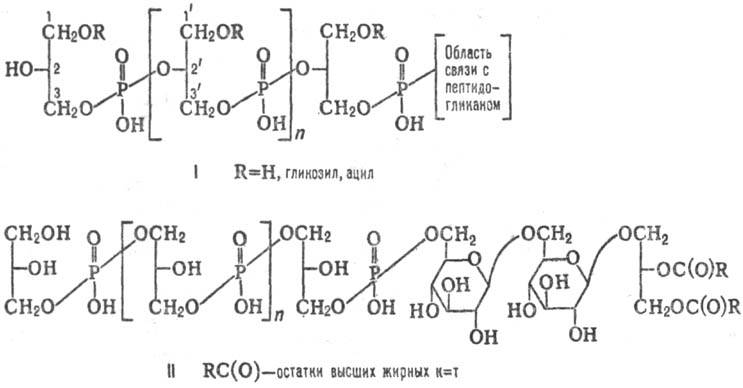
Молекулы тейхоевых кислот построены из повторяющихся звеньев, представляющих собой полиолы или гликозилполиолы, соединенные фосфодиэфирными связями. В зависимости от природы полиола различают глицерин-, рибит- и маннит-тейхоевые кислоты. Фосфодиэфирные связи в поли(глицерофосфатных) тейхоевых кислотах (ф-ла I) могут соединять положения 3,2' или 1,3', а в поли(рибитфосфатных) тейхоевых кислотах установлены только связи 1,5'; строение маннит-тейхоевых кислот изучено недостаточно. Гидроксильные группы полиолов могут быть гликозилированы (остатками глюкозы, галактозы, маннозы, рамнозы, глю-козамина, галактозамина, изредка О-метилпроизводными галактозы и рамнозы) или ацилированы (остатками D-ала-нина, L-лизина, уксусной и янтарной к-т). В нек-рых тейхоевых кислотах остатки сахаров, гликозилирующих полиол, включены в главную цепь полимера. В молекулах тейхоевых кислот n обычно от 10 до 40 и может достигать 60. Сведения о вторичной структуре указывают на возможную спиральную конформацию тейхоевых кислот.
Тейхоевые кислоты клеточных стенок (их содержание может достигать 75% от сухой массы этих стенок) ковалентно связаны с пептидогликанами, причем область связывания представляет собой олигомерное звено, содержащее аминосахара и глицерофосфат, но отличающееся по строению от повторяющихся звеньев тейхоевых кислот. Как правило, ближайшим к пепти-догликану является остаток глюкозамина; атом С-1 этого моносахарида связан фосфодиэфирной связью с атомом С-6 остатка мурамовой к-ты пептидогликана, а с др. стороны звена (ближайшей к тейхоевой кислоте) остаток глицерофосфата фосфодиэфирной связью соединен с остатком полиола тейхоевой кислоты.
Мембранные тейхоевые кислоты получили назв. липотейхоевых к-т (липо-тейхоевые кислоты). Они представляют собой чаще всего поли(гли-церофосфатные) цепи (фосфодиэфирная связь соединяет положения 1,3'), соединенные фосфодиэфирной связью с атомом С-6 гексопиранозильного остатка гликолипида (II). Благодаря липидной части липо-тейхоевые кислоты удерживаются в мембране, а поли(глицерофосфатная) цепь располагается на ее внеш. стороне и иногда пронизывает клеточную стенку и выходит на пов-сть клетки. Содержание липо-тейхоевых кислот составляет 0,4-1,6% сухой массы клетки.

Тейхоевые кислоты раств. в воде, для выделения из клеточной стенки их обычно экстрагируют 10%-ной трихлоруксусной к-той при 2-4 °С в течение 24 ч с послед. осаждением этанолом или ацетоном. Более продолжит. экстракция может приводить к частичному гидролизу фосфодиэфирных связей или потере О-ацильных заместителей. Иногда тейхоевые кислоты экстрагируют водным р-ром NaOH или диметилгидразином, но в этих условиях более вероятна частичная деструкция полимера. Липо-тейхоевые кислоты выделяют обработкой разрушенных клеток водным фенолом. Дальнейшую очистку тейхоевых кислот проводят методами гель-хроматографии, ионообменной хроматографии, высоковольтного электрофореза на бумаге и аффинной хроматографии на лектинах.
Определение первичной структуры тейхоевых кислот хим. методами основано на расщеплении молекул на фрагменты действием к-т (2 н. НС1, 48% HF) или щелочей (1 н. NaOH) с послед. разделением и установлением строения этих фрагментов. Важным физ.-хим. недеструктивным методом структурного анализа служит ПМР и спектроскопия ЯМР 13С и 31Р.
Донорами мономерных звеньев при биосинтезе тейхоевых кислот служат цитидиндифосфатглицерин, цитидиндифосфатрибит или нуклеозиддифосфатсахара. Синтез цепи начинается с образования олигомерной области на участке связи тейхоевой кислоты с пептидогликаном при участии липидных переносчиков полипренольной природы. Далее к образовавшемуся олиго-меру последовательно присоединяются полиолфосфатные остатки от соответствующих нуклеотидных предшественников. При биосинтезе липо-тейхоевых кислот в образовании поли(глице-рофосфатной) цепи нуклеотидный предшественник не участвует, а донором глицерофосфатных остатков (имеющих по сравнению с ф-лой I противоположную стереохим. конфигурацию) служит фосфатидилглицерин.
Ф-ции тейхоевых кислот в бактериальной клетке связаны с ионным обменом и регуляцией работы автолитич. ферментов (катализируют гидролиз сложного биополимера, составляющего каркас клеточной стенки), к-рые активны при росте и делении клеток. Мутантные клетки бактерий, лишенные тейхоевых кислот, оказываются нежизнеспособными. К вторичным ф-циям тейхоевых кислот относят их антигенные св-ва и связывание фагов. Стрептококковые, стафилококковые и др. бактериальные инфекции человека и животных сопровождаются выходом тейхоевых кислот в организм, что приводит к развитию постинфекц. осложнений в виде эндокардитов, нефритов, артритов и др.
Тейхоевые кислоты открыты в 1958 в клеточных стенках грамположит. бактерий. Позже аналогичные полимеры были найдены в капсулах грамотрицат. бактерий и в бактериальных мембранах.
Лит.: Вaddiley J., "Essays Biochem.", 1972, v. 8, p. 35-77; Naumova I. B., "Microbiological Sciences", 1988, v. 5, № 9, p. 275-79; Fischer W., Physiology of lipoteichoic acids in bacteria, в кн.: Advances in microbial physiology, ed. by A.H. Rose, D.W. Tempest, v. 29, L., 1988, p. 233-302. И.Б. Наумова.