Деструкция полимеров

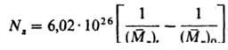
ДЕСТРУКЦИЯ ПОЛИМЕРОВ (от лат. destructio- разрушение), общее назв. процессов, протекающих с разрывом хим. связей в макромолекулах и приводящих к уменьшению степени полимеризации или мол. массы полимера. В зависимости от места разрыва хим. связей различают деструкцию в основной и боковых цепях полимера. Деструкция в основной цепи может протекать по закону случая (равновероятный разрыв хим. связи в любом месте микромолекулы) и как деполимеризация (отщепление мономерных звеньев с концов полимерной цепи). При деструкции по закону случая среднечисловая мол. масса связана с числом разрывов цепи Ns соотношением:
001_020-98.jpg
где 001_020-99.jpg и 001_020-100.jpg - среднечисловые мол. массы соотв. исходного полимера и в момент времени t. Деструкции принято классифицировать по внеш. факторам (тепло, ионизирующая радиация, мех. напряжения, свет, О2, влага и др.), вызывающим ее, на термическую, радиационную, механическую и др. Часто причиной деструкции полимеров является одновременное действие неск. факторов, напр., тепло и О2 приводят к термоокислит. деструкции. Нередко всю сумму превращений, происходящих в полимере под действием внеш. факторов, наз. деструкцией. Деструкция - одна из причин старения полимеров. Как правило, она является цепным процессом и включает след. осн. стадии: 1) инициирование (образование активных центров деструкции); 2) продолжение, или развитие, цепи (совокупность р-ций с участием активных центров, приводящих к изменению хим. структуры и физ. св-в полимера); 3) обрыв кинетич. цепи (процессы дезактивации активных центров). Термическая деструкция (под действием высоких т-р в отсутствие О2 и др. факторов) в зависимости от типа полимера происходит с заметной скоростью выше 230-430 °С. Процесс в большинстве случаев протекает по радикально-цепному механизму. Осн. стадии его можно рассмотреть на примере полиэтилена. Инициирование (самая медленная стадия) осуществляется в результате термич. распада макромолекулы с образованием макрорадикалов:
001_020-101.jpg
Развитие цепи включает изомеризацию радикалов (ур-ние 1), отщепление молекул мономера (2) или высших олефинов (3), передачу цепи на соседние макромолекулы (р-ция 001_020-102.jpg + R'H : RH + 001_020-103.jpg) и разрыв макромолекулы (4):
001_020-104.jpg
Обрыв цепи происходит при взаимод. двух радикалов:
001_020-105.jpg
В зависимости от соотношения скоростей отдельных стадий при термич. деструкции образуются разл. кол-ва мономера и продуктов с меньшей мол. массой, чем у исходного полимера, а при глубокой деструкции - нередко кокс. Пример сложного процесса, включающего радикальные, ионные и молекулярные р-ции - термодеструкция ПВХ. Фотохимическая деструкция (фотолиз) вызывается светом, поглощаемым хромофорными группами полимера, продуктами термич. или термоокислит. его превращения и (или) примесями. При фотолизе, помимо разрыва хим. связей, происходят сшивание, образование двойных связей и своб. радикалов. Процесс характеризуют квантовым выходом разрывов цепи (числом разрывов на поглощенный квант света), к-рый для разных полимеров лежит в пределах 10-4-10-1. Радиационная деструкция вызывается жесткой ионизирующей радиацией (a-, b- и g-излучением), ускоренными электронами и ионами. Осн. процесс - отщепление водорода и небольших боковых групп, напр. СН3, С2Н5. Из-за высокой концентрации своб. радикалов в относительно небольших участках в-ва эта деструкция сопровождается сшиванием макромолекул, в большинстве случаев преобладающим над самой деструкцией. Механическая деструкция (механохим.) протекает при действии на твердые полимеры постоянных (статич.) и переменных мех. нагрузок или при перемешивании расплавов и р-ров полимеров. Первая стадия этой деструкции - разрыв полимерной цепи под действием напряжений:
001_020-106.jpg
Далее в полимере могут протекать те же процессы, что и при термич. деструкции. См. также Механохимия. Действие на полимеры хим. в-в приводит к окислительной (О2) или химической3, вода, к-ты, щелочи, Сl2 и т. п.) деструкции. Последнюю подразделяют на озонную, гидролитич. и др. Окислительная (или термоокислительная) деструкция -многостадийная цепная р-ция. Осн. стадии: 1. Инициирование (зарождение цепи): 001_020-107.jpg (где RH - мономерное звено полимера, напр. ~ СН2—СН2 ~). 2. Развитие цепи:
001_020-108.jpg
В ряде случаев при т-рах выше 200 °С процесс осложняется распадом пероксильного радикала RO*2, напр.:
001_020-109.jpg
а при умеренных т-рах - вторичными р-циями, напр.:
001_020-110.jpg
3. Разветвление цепи протекает в результате распада гидропероксидных групп - ООН, напр.:
001_020-111.jpg
(где s - выход своб. радикалов). Параллельно образуются разл. низко- и высокомол. продукты. Радикалы РО* могут распадаться по схеме:
001_020-112.jpg
Др. механизм разветвления цепи - окисление альдегидных групп:
001_020-113.jpg
4. Обрыв цепи происходит в результате рекомбинации и диспропорционирования радикалов, гл. обр. пероксильных (001_020-114.jpg : ROOR + О2). При распаде пероксидов ROOR часть радикалов регенерируется. Большую роль в обрыве цепи играют низкомол. радикалы (НО*2, 001_020-115.jpg и др.). Скорость термоокислит. деструкции, как правило, значительно выше, чем термической. При одновременном действии света и О2 происходит фотоокислительная деструкция, при к-рой зарождение и разветвление цепи являются фотохим. процессами Разветвление цепи может протекать вследствие фотолиза гидро-пероксидов и образования новых хромофорных групп (напр., кетонных, кетоимидных). Озонная деструкция сопровождается окислит. процессами. Вследствие высокой реакц. способности О3 протекает в поверхностных слоях полимера, в к-рых происходят глубокие превращения, приводящие к растрескиванию. См. также Озонирование. Гидролитическая деструкция (одновременное действие воды и к-т или щелочей) в обычных условиях также протекает в поверхностных слоях и ограничивается диффузией воды, к-т или щелочей. Биологическая деструкция вызывается ферментами, выделяемыми микроорганизмами, организмами высших растений и животных. Особое значение имеет деструкция в тканях человека. В большинстве практически важных случаев деструкция - вредный процесс, приводящий к изменению св-в полимеров и даже к разрушению изделий из них. Для борьбы с деструкцией разработаны разнообразные методы стабилизации полимеров. В ряде случаев стойкость к деструкции - осн. фактор, определяющий возможность использования полимера в конкретных условиях эксплуатации; это ставит задачу прогнозирования стабильности полимеров или материалов на его основе. Однако в нек-рых случаях деструкция может иметь положит. значение. Так, контролируемой деструкцией получают нек-рые полимеры, напр., поливиниловый спирт - щелочным гидролизом поливинилацетата. Для регулирования технол. св-в каучуки подвергают пластикации (многократной деформации на вальцах в присут. воздуха), в процессе к-рой происходит механоокислит. деструкция. Поверхностный гидролиз используют для придания шероховатости изделиям из полиэфиров и эфиров целлюлозы и снижения их электризуемости. Гидролитич. деструкцией целлюлозы и крахмала получают сахара. Для повышения адгезии изделий из полиолефинов к клеям и металлам проводят поверхностное окисление их с помощью сильных окислителей или электрич. разряда. Деструкцию применяют также для установления хим. строения полимеров.

Лит.: Рэнби Б., Рабек Я., Фотодеструкция, фотоокисление, фотостабилизация полимеров, пер. с англ., М., 1978; Эмануэль Н. М., "Успехи химии", 1979, т. 48, № 12, с. 2113-61; Шляпинтох В. Я., Фотохимические превращения и стабилизация полимеров, М., 1979; Моисеев Ю. В., Заиков Г Е., Химическая стойкость полимеров в агрессивных средах, М., 1979; Эмануэль Н. М., Бучаченко А. Л., Химическая физика старения и стабилизации полимеров, М., 1982; Шляпников Ю. А., Кирюшкин С. Г., Марьин А. П., Антиокислительная стабилизация полимеров, М., 1986. Ю. А. Шляпников.

Ещё по теме
Деструкция полимеров — виды, последствия и применение
Пластикация полимеров — механизмы и применение
Радикальная полимеризация — механизм и кинетика процесса
Полимераналогичные превращения — особенности и применение
Полимеризация — основные аспекты и механизмы процесса
Механизм полимеризации — от свободных радикалов до высокомолекулярных полимеров
Полимеризация в растворе — методы и применение
Полимеризация — типы, стадии и способы осуществления
Твёрдофазная полимеризация — механизмы и особенности
Механохимия полимеров — превращения под действием сил
Отверждение — механизмы и условия протекания реакции
Поликонденсация — механизмы, условия и влияние на молекулярно-массовое распределение полимеров
Отверждение полимеров — механизмы и условия
Стабилизация полимеров
Поликонденсация в растворе — технология и применение
Мутации и репарация ДНК
Полирекомбинация — механизм образования полимеров