Механизм полимеризации
Впервые систематическое изучение полимеризации непредельных соединений было предпринято С. В. Лебедевым, который показал, что при нагревании диеновых соединений образуются преимущественно циклические димеры. Например, из бутадиена получается винилциклогексен:

Высокомолекулярные линейные полимеры в этих условиях образуются в сравнительно небольших количествах.
При проведении полимеризации как в технике, так и в лабораториях исходный мономер всегда активируют, чаще всего добавлением некоторых веществ, которые значительно ускоряют реакцию и направляют ее в сторону получения высокополимерных продуктов. В результате многочисленных исследований удалось выяснить характер действия многих из этих добавок.
В настоящее время хорошо известно, что полимеризация непредельных соединений, которая схематически может быть представлена простым уравнением

в действительности представляет собой сложный процесс, состоящий из большого числа последовательных реакций.
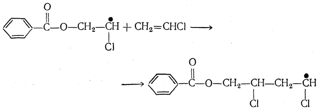
Во многих случаях полимеризация начинается с образования в реакционной системе (тем или иным способом) свободных радикалов. Чтобы ускорить полимеризацию, к непредельным соединениям обычно добавляют небольшие количества некоторых веществ (так называемых инициаторов полимеризации), способных при умеренной температуре распадаться с образованием свободных радикалов. Широко применяют для этой цели перекись водорода и различные органические перекиси и гидроперекиси, например перекись бензоила (С6Н5СОО)2. Это вещество при нагревании распадается на свободные радикалы:

Такой радикал может присоединяться к двойной связи непредельного соединения, например хлористого винила, с образованием нового радикала:

Этот новый радикал в свою очередь легко присоединяется к следующей молекуле мономера:

и т. д. Эта реакция, получившая название реакции роста цепи, повторяясь много раз, приводит к образованию длинных полимерных цепей, содержащих на концах свободные валентности.
Заключительной стадией процесса является обрыв цепи. Он осуществляется либо путем взаимного насыщения свободных валентностей двух растущих полимерных цепей с образованием одной полимерной молекулы

либо путем перераспределения (диспропорционирования) таких растущих цепей с образованием двух устойчивых макромолекул:

Обрыв реакционной цепи может происходить также в результате взаимодействия растущей цепи с посторонними примесями, содержащимися в мономере. Отсюда требования высокой чистоты мономера, если нужно получить полимер с большим молекулярным весом.
Наоборот, для получения низкомолекулярного полимера можно специально добавлять вещества, обрывающие цепь. Примером такого процесса является теломеризация, проводимая в среде растворителя, способного вызывать обрыв цепи (так называемого телогена). При теломеризации получаются низкомолекулярные полимеры (теломеры), содержащие на концах цепочки остатки молекулы телогена. Процесс теломеризации удобно рассмотреть на примере получения тетрахлоралканов из этилена и четыреххлористого углерода. В этом случае радикал R•, образовавшийся при распаде инициатора, реагирует с молекулой четыреххлористого углерода, в результате чего возникает новый радикал (передача цепи):

Этот новый свободный радикал начинает реакцию роста цепи:

и т. д.
При встрече с другой молекулой четыреххлористого углерода происходит реакция передачи цепи, приводящая к образованию молекулы теломера и радикала •ССl3, начинающего новую реакционную цепь:

Кроме четыреххлористого углерода и некоторых других галоидных соединений, телогенами могут служить многие органические соединения, содержащие в молекуле достаточно подвижный атом водорода, например кислоты, имеющие α-атомы водорода, сложные и простые эфиры, спирты, ацетон и даже алкилбензолы. Тогда реакция теломеризации будет выражаться следующим суммарным уравнением:

В процессе полимеризации соединений с кратными связями свободные радикалы могут реагировать не только с молекулами мономера, но и с полимерными цепями. При этом особенно легко происходит отрыв атомов водорода от углеродного атома полимерной молекулы, находящегося в β-положении по отношению к двойной связи:

В результате этой реакции в полимерных молекулах возникают свободные валентности, к которым могут присоединяться новые молекулы мономера. Таким образом получаются разветвленные и сетчатые структуры.
К свободным валентностям, возникшим в полимерных молекулах тем или иным путем, могут присоединяться молекулы другого мономера, образуя более или менее длинные боковые ответвления. Таким путем получаются привитые сополимеры. Физико-химические свойства полимера после «прививки» даже сравнительно небольшого числа коротких боковых цепей часто значительно изменяются, что используется на практике для модифицирования полимеров.
Интересным и технически очень важным способом проведения полимеризации является полимеризация в водной фазе (в водных эмульсиях). При этом свободные радикалы, начинающие реакцию полимеризации, образуются из растворимых в воде перекисных соединений.
Для получения из перекисей свободных радикалов применяют часто некоторые окислительно-восстановительные реакции. Примером может служить реакция между перекисью водорода и двухвалентным ионом железа:

Образовавшийся в этой реакции гидроксильный радикал, присоединяясь к двойной связи, начинает реакционную цепь. Так как ионные реакции, подобные изображенной выше, протекают с большой скоростью даже при низких температурах, то применение окислительно-восстановительных реакций позволяет проводить полимеризацию в водных эмульсиях при низкой температуре (0° С и даже ниже).
Все рассмотренные выше реакции протекают с участием свободных радикалов. Поэтому описанный способ полимеризации получил название радикальной полимеризации. Во многих случаях полимеризация протекает таким образом, что растущая полимерная цепь имеет характер не свободного радикала, а положительного или отрицательного иона (ионная полимеризация). Реакция может протекать под влиянием катализаторов, поставляющих протоны. Протон присоединяется к одному из углеродных атомов двойной связи, в результате чего второй атом углерода становится трехвалентным и на нем возникает положительный заряд

т. е. образуется ион карбония. Реакция роста цепи протекает путем присоединения к иону карбония молекулы мономера с перемещением положительного заряда по схеме:

Этот тип полимеризации получил название катионной полимеризации.
По такому механизму протекает полимеризация многих непредельных соединений под действием сильных минеральных кислот и некоторых галогенидов (АlСl3, BF3, SnCl4 и др.). способных образовывать комплексные кислоты с галоидоводородами или водой.
Полимеризацию многих мономеров можно вызвать действием щелочных металлов и некоторых металлоорганических соединений (изопропилкалий, бутиллитий и др.). При действии этих веществ в растущей полимерной цепи возникает трехвалентный отрицательно заряженный углерод (карбанион). Реакция роста цепи протекает по схеме:

Такой тип полимеризации получил название анионной полимеризации. По-видимому, по этому механизму протекает полимеризация бутадиена под действием металлического натрия. Эта реакция лежит в основе разработанного С. В. Лебедевым первого в мире промышленного метода получения синтетического каучука.
Характерной особенностью реакций катионной и анионной полимеризации является то, что в некоторых условиях они могут протекать с огромной скоростью при очень низких температурах, приводя к образованию высокомолекулярного продукта. Так, например, полимеризация изобутилена под действием фтористого бора протекает со взрывом при температуре порядка —100° С.
Большой интерес представляет полимеризация под действием комбинированных катализаторов особого типа, например смеси алюминийалкилов и хлоридов титана или ванадия (Циглер, Натта). Катализаторы этого типа вызывают полимеризацию не только многих винильных соединений, но также и простейших олефинов. Так, например, этим путем может быть получен из этилена линейный полиэтилен с молекулярным весом до 3 000 000. Реакция протекает с очень большой скоростью даже при обычной температуре и нормальном давлении. Аналогичным путем может быть получен и высокомолекулярный полипропилен. Другой характерной особенностью этого вида полимеризации является то, что она во многих случаях приводит к образованию стереорегулярных полимеров.