Тиоугольные кислоты
ТИОУГОЛЬНЫЕ КИСЛОТЫ, серосодержащие аналоги угольной к-ты: монотиоуголъные SC(OH)2, OC(SH)OH; ди-тиоугольные SC(SH)OH, OC(SH)2; тритиоугольная SC(SH)2; ортотиоугольные к-ты (НО)nС(SН)4-n (п = 0-3). В своб. виде известна только тритиоугольная к-та-жидкость красного цвета, т. пл. -26,9 °С,
1,483; при 0°С быстро разлагается на H2S и CS2, при — 78 °С может храниться длит. время. Существуют устойчивые щелочные соли всех тиоугольных кислот. Известны разл. производные тиоугольных кислот: моно-, диэфиры и амиды моно-тиоугольной к-ты (напр., тиомочевина, тиокарбаминовые кислоты и их производные); соли, эфиры (см. Ксантогена-ты) и амиды дитиоугольной к-ты (см. Дитиокарбамтовые кислоты); диэфиры тритиоугольной и тетраэфиры орто-тиоугольной к-т.
Эфиры тиоугольных кислот легко гидролизуются с элиминированием тиола; при щелочном гидролизе образуется тиокарбонат-анион, при кислом-сульфоксид углерода, напр.:

Аммонолиз и аминолиз эфиров тиоугольных кислот протекает по разл. направлениям в зависимости от природы как эфирного, так и аминного компонента, а также от условий р-ции, напр.:

Р-ция циклич. О,О-диэфиров монотиоугольной к-ты с триалкилфосфитом приводит к алкенам (Кори-Уинтера реакция):

Диарилтионкарбонаты подвергаются внутримол. перегруппировке в диарилтиолкарбонаты при 200-300 °С (перегруппировка Шёнберга); аналогично происходит превращение О,S-диарилдитиокарбонатов:

Диэфиры тритиоугольной к-ты вступают в диеновый синтез, напр.:

При взаимод. дитиокарбонатов с трифенилфосфонийме-тилидом образуются илиды, стабилизированные тионной группой, напр.:

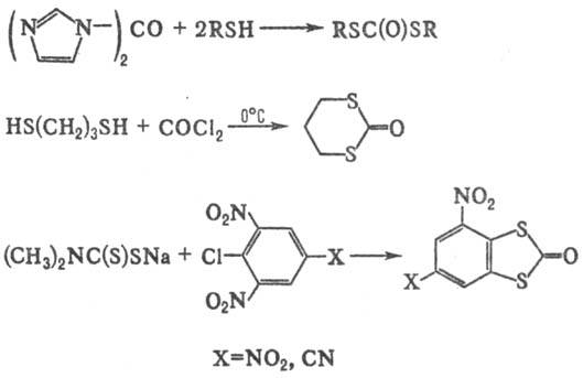
Щелочные соли О-эфиров монотиоугольной к-ты (соли Бендера) получают обработкой алкоголятов или гидросульфидов щелочных металлов соотв. COS или алкилхлорфор-миатами, аммониевые-из соответствующих производных дитиоугольной к-ты:

O,S-Диэфиры монотиоугольной к-ты образуются при действии на тиолы алкилхлорформиатов или при действии на спирты алкилхлортиоформиатов; при взаимод. О-эфиров S-галогентиоугольной к-ты с ароматич. углеводородами в присут. к-т Льюиса или с нек-рыми кетонами:

Эти эфиры образуются также при алкилировании солей Бендера.
При каталитич. карбонилировании меркаптоэтанола в присут. О2 и катализатора (аморфный Se или комплекс Ni(CO)3 · C5H5N) либо при обработке его СОСl2 в присут. оснований образуются циклич. О,S-диэфиры:

Циклич. О,S-диэфир м.б. получен также при действии ClC(O)SCl на нафталин.
Р-ции тиофосгена или N, N'-тиокарбонилдиимидазола со спиртами, либо О-алкилксантогенатов с алкоголятами приводят к О,О-диэфирам монотиоугольной к-ты, напр.:

Для получения О,S-диэфиров дитиоугольной к-ты используют взаимод. S-эфира хлордитиоугольной к-ты с гидрокси-содержащими соед., О-эфира хлортиоугольной к-ты с тио-лами в присут. солей Рb либо алкилирование ксантогенатов, напр.:

S,S-Диэфиры дитиоугольной к-ты образуются по р-ции тиолов с N, N'-карбонилдиимидазолом или СОСl2; взаимод. дитиолов с СОСl2 или дитиокарбаматов с активир. арилгалогенидами, напр.:

Соли моноэфиров тритиоугольной к-ты получают по р-ции:
При алкилировании тритиокарбоната калия алкилгало-генидами либо при взаимод. тиолов с S-эфирами хлортиоугольной к-ты или CSCl2 образуются диэфиры тритиоугольной к-ты:

Для получения циклич. эфиров 1,2-димеркаптоарены об-рабатывают CS2 в присут. щелочей либо восстанавливают CS2 натрием (калием) в смеси ДМФА-бензол с последующим алкилированием образующегося дианиона:

При взаимод. нитрилоксидов с О,О-диэфирами монотиоугольной к-ты образуются циклич. эфиры ортотиоугольной к-ты; при обработке 2,2-дихлор-1,3-бензодиоксола тиофено-лами-эфиры ортодитиоугольной к-ты; при р-ции иодида 2-метилтио-4,5,6,7-тетрагидро-1,3-бензодитиолия со спиртами-эфиры ортотритиоугольной к-ты, а при р-ции с тиола-ми-эфиры ортотетратиоугольной к-ты:

Эфиры ортотетратиоугольной к-ты м.б. получены действием тиолов на трис-(органилтио)карбениевые соли, обработкой бис-(этилтио)метилнатрия диэтилдисульфидом в жидком NH3 в присут. NaNH2 и из замещенной N,N'-ди-нитрозоизотиомочевины:

Эфиры ортотетратиоуголъной к-ты с дитиолами в присут. n-толуолсульфокислоты образуют циклич. эфиры этой к-ты, напр.:

Соли, эфиры и амиды тиоугольных кислот - пестициды, ускорители вулканизации, флотореагенты. Наиб. применение находят О-эфи-ры дитиоугольной к-ты (ксантогенаты).
Лит.: Общая органическая химия, пер. с англ., т. 5, М., 1983, с. 636-46; Houben-Weyl, Methoden der organischen Chemie, Bd E4, Stuttg., 1983, S. 102-15, 128-40, 420-24, 427-33, 447-56, 703-10. А. А. Дудинов.