Молекулярные кoмплексы
МОЛЕКУЛЯРНЫЕ КOМПЛЕКСЫ (донорно-акцепторные комплексы, мол. соединения), образуются из формально валентно-насыщ. молекул благодаря силам межмолекулярного взаимодействия. Совр. представления о молекулярных комплексах значительно шире того, что заложено в их названии, т. к. в молекулярные комплексы могут входить ионы, своб. радикалы, ион-радикалы, а также молекулы в возбужденном состоянии (см. Эксимеры, Экси-плексы); к молекулярным комплексам относятся и комплексы с водородной связью (см. Водородная связь). Молекулярные комплексы имеют вполне определенную стехиометрию и пространств. строение, при этом исходный состав входящих в молекулярные комплексы молекул сохраняется. Часто молекулярные комплексы рассматривают как своеобразный тип координац. соед., в к-рый наряду с соед. металлов (см. Металлоорганические соединения)входят и комплексы, состоящие исключительно из орг. соед. или неметаллов.
Обычно молекулярные комплексы отличают от клатратов, у к-рых чаще всего менее определенная стехиометрия и энергия межмолекулярного взаимод. не превышает энергию ван-дер-ваальсова взаимодействия. Однако это отличие довольно условно, т. к. относит. прочность молекулярных комплексов, по к-рой они делятся на сильные и слабые, изменяется в весьма широком диапазоне и бывает соизмерима как с энергией ван-дер-ваальсова взаимод., так и с энергией хим. связи. Напр., энтальпия образования DH0K для слабого молекулярного комплекса (C6H5)2S.I2 всего -1,25 кДж/моль, а для сильного молекулярного комплекса 4-C2H5C5H4N.АlВr3 порядка -200 кДж/моль.
Прочность связи и др. физ.-хим. св-ва молекулярных комплексов трактуют с позиций образования в них донорно-акцепторной связи, обусловленной перекрыванием мол. орбиталей (МО) донора (Д) и акцептора (А) электронов в молекуле молекулярного комплекса.
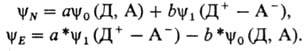
В соответствии с природой орбиталей, участвующих в образовании донорно-акцепторной связи, Д и А подразделяют на неск. групп (Р. Малликен): n-доноры, образующие связь за счет неподеленной электронной пары гетероатома (напр., амины, эфиры, сульфиды); p-доноры, предоставляющие p-электроны (напр., ароматич. углеводороды); s-доноры, предоставляющие пару электронов s-связи (напр., гало-генуглеводороды); u-акцепторы, принимающие электрон на вакантную орбиталь атома металла (напр., АlНаl3 и др. к-ты Льюиса); s-акцепторы, предоставляющие разрыхляющую s-орбиталь (галогены); я-акцепторы, принимающие электрон на p-орбиталь (хиноны, ароматич. нитрилы и карбонильные соед.). Примеры молекулярных комплексов: типа nu-R3PO.PF5, ns-R2S.I2, pu-С6Н6.АlСl3. Согласно теории Малликена, основное (N)и возбужденное (Е)состояния молекулярных комплексов состава ДА описываются соотв. волновыми ф-циями yN и yE:

Ф-ция y0 описывает гипотетич. состояние системы "без связи", когда расстояние между молекулами Д и А равно длине донорно-акцепторной связи, а взаимод. между ними только электростатическое. Ф-ция y1 описывает состояние, в к-ром один из электронов с МО донора yД перенесен без изменения спина на МО акцептора yД, оставаясь спаренным со вторым электроном на МО yД, в результате чего образуется ковалентная связь. Суперпозиция гипотетич. состояний, отвечающих y1 и y0, соответствует реальному состоянию молекулярных комплексов.
Переход из основного состояния в возбужденное связан с увеличением вклада состояния y1 (а* >> b*) и сопровождается резким увеличением степени переноса заряда. Для ряда молекулярных комплексов характерно появление в электронных спектрах новой полосы поглощения, отсутствовавшей в спектрах индивидуальных Д и А, называемой п о л о с о й п е р е н о с а з а - р я д а. Не все молекулярные комплексы имеют полосу переноса заряда, а в ряде случаев ее трудно фиксировать из-за собств. поглощения Д или А. Получены линейные ур-ния, связывающие энергию hv, соответствующую полосе переноса заряда с потенциалом ионизации донора IД для молекулярных комплексов типа sn, ss, ps. Наиб. полное полуэмпирич. ур-ние hv = IД — ЕА + С включает в себя ЕА- сродство к электрону акцептора и постоянную С.
м. к. часто называют к о м п л е к с а м и с п е р е н о с о м з а р я д а (КПЗ), хотя перенос заряда не является единственным или обязательно главным фактором устойчивости молекулярных комплексов в основном состоянии. Лишь для молекулярных комплексов типа pp (p-к о м пл е к с о в), полученных взаимод. сильных p-доноров и p-акцепторов, уже в основном состоянии реализуется почти полный перенос заряда и образуются устойчивые ион-радикальные пары, или и о н-р а д и к а л ь н ы е с о л и, наз. также металлами органическими, т.к. их проводимость в определенном температурном интервале близка к металлической. Синтез таких солей осуществляют целенаправленно, исходя из экспериментально установленных оптим. значений (IД - EА) ~ 4 эВ и энергий для полосы переноса заряда hv, соответствующей l
1000-1500 нм. На основании этих систем ведутся поиски новых оптич. материалов (светофильтров), материалов с полупроводниковыми сверхпрово-дящими св-вами (напр., ДА, где Д - тетрахалькогенофульва-лены с Iд ~ 6,3-6,8 эВ и А - тетрацианоэтилен, циано- и галогенопроизводные дихинонов с EА ~ 1,8-3 эВ). Методом мёссбауэровской спектроскопии (для твердых быстрозаморо-женных р-ров) установлено отсутствие переноса заряда в нек-рых слабых молекулярных комплексах типа ss (напр., ССl4.I2, С6Н14.I2); заметные значения имеют величины переноса заряда для молекулярных комплексов типа ps, пs; макс. значения переноса заряда (порядка 0,2-0,5 е и выше) наблюдаются в сильных молекулярных комплексах типа nu. Такое деление молекулярные комплексы по величине переноса заряда носит качеств. характер, т. к. величины переноса заряда, полученные для одних и тех же молекулярных комплексов разл. методами (ИК, ЯКР, мёссбауэровской, фотоэлектронной спектроскопией, определением дипольных моментов), часто существенно отличаются друг от друга. Это объясняется не только разл. условиями эксперимента, но также и тем, что каждый метод связан с определенными допущениями, роль к-рых не поддается точной оценке. Простая и наглядная модель молекулярных комплексов Малликена, породившая множество полуэмпирич. соотношений, носит качеств. характер. Количеств. теоретич. расчеты молекулярных комплексов осуществляют методами МО ЛКАО и ССП МО ЛКАО (см. Молекулярных орбиталей методы). Выявление доминирующего фактора в определении прочности молекулярного комплекса или его структуры проводится в рамках модельного разложения полной энергии взаимод. (Eвз) для системы (Д + А) на составляющие:
, где Eэл-ст-энергия электростатич. взаимод., Епол - поляризационная энергия, Еобм - энергия обменного взаимод., Епз-энергия, связанная с переносом заряда, Ев.п -энергия высших порядков, определяемая как разность между Евз и первых четырех членов разложения. На основании количеств. оценки отдельных вкладов в Евз, полученной на основе расчетов ab initio (см. Неэмпирические методы)для широкой серии молекулярных комплексов разного типа, К. Морокума классифицировал молекулярные комплексы: по значениям энергии связи-как сильные (сотни кДж/моль, типа nu, su), средние (десятки кДж/моль, типа ns, pp, пp), слабые (единицы кДж/моль, типа ns, ps, pp); по природе связи (т.е. по наиб. вкладу в Eвз)-как электростатические, поляризационные, с переносом заряда. При этом молекулярные комплексы каждого типа м. б. как сильные, так и слабые. Подобная классификация молекулярных комплексов весьма условна, т. к. разделение Eвз на составляющие даже в расчетах ab initio сильно зависит от применяемого в расчете базисного набора волновых ф-ций. Изучение молекулярных комплексов имеет важное практич. значение для решения энергетич. и экологич. проблем - утилизации солнечной энергии, аккумулирования электрич. энергии, разработки новых методов переработки руд, угля. Молекулярные комплексы используют как катализаторы, в аналит. химии, электронике, фармакологии, гидрометаллургии и др. По мнению А. Сент-Дьёр-дя, глиоксалевые производные, обнаруживаемые во всех живых клетках, являются акцепторами для белков и ответственны за перевод клеток из анаэробного состояния в аэробное. Затем роль акцептора берет на себя кислород, к-рый обладает значительно большим, чем глиоксаль, сродством к электрону. Известные эксперим. факты указывают на важную роль молекулярных комплексов в ферментативных р-циях в биоэнергетике в целом.
Исп. литература для статьи «МОЛЕКУЛЯРНЫЕ КOМПЛЕКСЫ»: Гурьянова Е. Н., Гольдштейн И. П., Ромм И. П., Донорно-ак-цепторная связь, М., 1973; Полещук О.Х., Максютин Ю.К., "Успехи химии", 1976, т. 45, в. 12, с. 2097-2120; Молекулярные взаимодействия, под ред. Г. Ратайчика, В. Орвилл-Томаса, пер. с англ., М., 1984; Успехи химии комплексов с переносом заряда и ион-радикальных солей (КОМИС-5), под ред. М. Л. Хидекеля, А.В.Булатова, Черноголовка, 1986; Хобза П., Заград-ник Р., Межмолекулярные комплексы, пер. с англ., М., 1990; Mulliken R. S., Person W. В., Molecular compounds, N.Y., 1969. См. также лит. при статьях Межмолекулярные взаимодействия, Металлы органические. В. А. Коган.