5-Пиразолон
5-ПИРАЗОЛОН, мол. м. 84,08; бесцв. кристаллы; т. пл. 1650C; раств. в воде и этаноле, плохо-в диэтиловом эфире, толуоле, хлороформе и бензоле. Теоретически может находиться в восьми таутомерных формах, но практически обнаружены только четыре (в ф-лах I-IV R = H):

Таутомер III более устойчив, чем II. В неполярных р-рите-лях преобладают таутомеры I и III, в полярных апротонных р-рителях - таутомер III, а в протонных р-рителях-Ш и IV. N-Замещенные 5-пиразолона (в ф-лах I-IV R
H) в газовой фазе находятся преим. в форме I, в полярных апротонных р-рителях-в формах II и III, а в протонных р-рителях-в форме IV.
5-Пиразолон конденсируется с альдегидами и кетонами, при взаи-мод. с нитрозосоединениями образует азометиновые соед., вступает в р-ции азосочетания; нитруется, сульфируется и галогенируется в положение 4. Получают 5-пиразолон взаимод. этилового эфира b-оксопропионовой к-ты с гидразином.
На основе 5-пиразолона синтезированы азометиновые красители и мн. лек. ср-ва, напр. антипирин и амидопирин - производные таутомера IV (см. Анальгетические средства).
Получено большое число производных 5-пиразолона. Наиб. широко распространен и хорошо изучен 1-фенил-3-метил-5-пиразолон (ФМП; V), на примере к-рого ниже рассматриваются св-ва производных 5-пиразолона. ФМП-амфотерное соед., в р-ре ведет себя как слабая к-та и слабое основание. При взаимод. с HNO2 образует 4-гидроксиминопроизводное. При нитровании и сульфировании замещение начинается с пара-положения фенильного цикла, в более жестких условиях идет замещение по положению 4 пиразолонового кольца; так получают, напр., пикролоновую к-ту (VI) - производное таутомера II.
·
ФМП восстанавливается только в очень жестких условиях напр. при перегонке над Zn или красным фосфором. При до йствии даже слабых окислителей типа FeCl3 образуется соединение VIII, при действии P2S5 (в ксилоле) -тиопиразол VII, по св-вам аналогичный меркаптанам. Алки-лирование ФМП может приводить к разл. продуктам; в частности, при метилировании CH3I в запаянных трубках образуется антипирин, а при взаимод. с диазометаном 1-фенил-3-метил-5-метоксипиразол.
Благодаря наличию активной метиленовой группы в положении 4, ФМП вступает в р-ции с нитрозаминами (с образованием азометиновых красителей), со многими карбонильными соед., солями диазония.
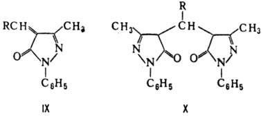
С альдегидами и кетонами ФМП может образовывать в зависимости от условий два типа соед. (IX и X):

ФМП и продукты его конденсации с альдегидами вступают в р-ции комплексообразования с рядом элементов и используются как аналит. реагенты для выделения и разделения Pt, Ag, Cu, Zn и др.
При сочетании ФМП с диазосоединениями получаются светопрочные красители, многие из к-рых нашли применение в цветной фотографии. При конденсации ароматич. кетонов с ФМП (или с антипирином) в присут POCl3 образуются т. наз. антипириновые красители, в частности хромпиразолы. С неорг. ионами они образуют ярко окрашенные комплексные соед., что используется для фото-метрич. определения большой группы элементов (Si, P, Ge, Zn, Cd и др.). При ацилировании получаются как О-, так и С-ацилзамещенные 5-пиразолона. 4-Ацилпиразолоны (напр., 1-фенил-3-метил-4-бензоилпиразолон) широко используются в аналит. химии как экстрагенты.
Антипирин с альдегидами образует производные ди-антипирилметана, к-рые широко используются в качестве аналит. реагентов и ингибиторов коррозии.
Лит. Золотов Ю. А., Кузьмин H M., Экстракция металлов ацилпиразолонами, M., 1977; Петров Б. И., Mосквитинова T. Б., "Ж аналит химии", 1982, т 37, № 7, с. 1185 92; Общая органическая химия, т 8, Азотсодержащие гетероциклы, M., 1985; Kusybala Z., Gасa J., "J. prakt. Chem.", 1988, Bd 330, H. 3. р. 435 В П Живописцев