Полиимиды
ПОЛИИМИДЫ, полимеры, содержащие в основной или боковой цепи макромолекулы имидные циклы (ф-ла I), как правило, конденсированные с бензольными ядрами или др. циклами.

Различают полиимиды с 5-, 6- и 7-членными имидными циклами. Наиб. практич. применение получили ароматич. линейные полиимиды с пятичленяыми имидными циклами в основной цепи, содержащие остатки пиромел-литовой к-ты, 3,3',4,4'-тетракарбоксидифе-килоксида, 3,3',4,4'-тетракарбоксидифенила или 3,3',4,4'-тетракарбоксибензофенона и 4,4'-диаминодифенилоксида, м-фенилендиамина или др. диаминов. Такие полиимиды сохраняют высокие физ.-хим. показатели в очень широком интервале т-р (от —270 до 325 0C).
Линейные полиимиды
Получение. Линейные полиимиды получают обычно полицикло-конденсацией диангидридов тетракарбоновых к-т и ароматич. диаминов в р-ре или расплаве в одну и две стадии (см. Полициклизация). Неплавкие и нерастворимые полиимиды производят двустадийным методом. Вначале синтезируют поли-амидокислоту (II):
В качестве р-рителей диаминов обычно используют ДМФА, N,N'-диметилацетамид, N-метилпирролидрн, ДМ СО. К полученному р-ру при 15-25 0C добавляют при перемешивании порциями эквимолярное кол-во диангидрида, получая вязкий 10-25%-ный р-р полиамидокислоты. Для снижения скорости обратной р-ции р-ры полиамидокислот хранят при т-рах не выше 0 0C, а также получают их соли или эфиры. Вторую стадию (т. наз. и м и д и з а ц и ю) - циклизацию с образованием имидных циклов - осуществляют термически или каталитически. Термич. способ заключается в нагревании р-ра полиамидокислоты или чаще сформованной из нее пленки или волокна, а также порошка в вакууме или инертной атмосфере с повышением т-ры примерно до 300-3500C. При этом степень полимеризации полимера сначала уменьшается (при 100-1500C), а затем при более высоких т-рах вновь возрастает, что обусловлено протеканием полициклоконденсации по концевым амино- и ангидридным группам.
Обработка полиамидокислот смесями ангидридов карбо-новых к-т (чаще уксусного) и третичных или гетероциклич. аминов (напр., триэтиламином, пиридином, хинуклидином) позволяет проводить каталитич. циклизацию при 20-1000C и получать полиимиды (III) со степенью полимеризации практически такой же, как у исходных полиамидокислот. По окончании каталитич. циклизации полиимиды в ряде случаев подвергают крат-коврем. термообработке при 300-3500C. При действии на полиамидокислоты таких соед., как N,N'-дициклогексил-карбодиимид или ангидрид трифторуксусной к-ты, образуются полимеры с изоимидными (иминолактонными) циклами (IV) к-рые при повыш. т-рах превращ. в более термически и химически устойчивые имидные циклы I.

Р-римые и(или) плавкие полиимиды, к-рые можно перерабатывать после циклизации, получают одностадийной полициклоконденсацией в высококипящих р-рителях (м|-крезол, нитробензол) при 160-2100C. Для получения высокомолекулярных полиимидов необходимо тщательно удалять выделяющуюся при р-ции H2O; этот процесс ускоряется в присут. карбоновых к-т или их амидов, третичных и гетероциклич. аминов, к-т Льюиса.
Полиимиды получают также взаимод. диангидридов тетракарбоно-вых к-т и диизоцианатов по схеме:

Р-цию проводят в ДМФА или N,N-диметилацетамиде в присут. третичных аминов или карбоновых к-т. Наиб. применение этот способ получил при синтезе полиамидо-имидов - полимеров, содержащих в цепи имидные циклы и амидные группы. Их получают из трикарбоновых к-т или их производных, напр.тримеллитового ангидрида. По св-вам они близки полиимидам, за исключением термостойкости, к-рая на ~50°С ниже, чем у полиимидов.
Свойства. Различают полиимиды с алифатич. звеньями в основной цепи макромолекулы и чисто ароматические. Первые - твердые легко кристаллизующиеся в-ва белого или желтого цвета. Полипиромеллитимиды на основе алифатич. диаминов, содержащих менее 7 атомов С в молекуле, имеют высокие т-ры плавления, лежащие выше т-р их начала разложения (выше 3500C); не раств. в известных орг. р-рителях. Полипиромеллитимиды на основе алифатич. диаминов, содержащих в цепи более 7 атомов С или имеющих разветвленную углеводородную цепь (не менее 7 атомов С), а также полиимиды др. ароматич. тетракарбоновых к-т и разл. алифатич. диаминов размягчаются при т-рах 3000C; такие полиимиды хорошо перерабатываются прессованием, литьем под давлением или экструзией; т. стекл. 100-2000C. В аморфном состоянии они хорошо раств. в м-крезоле, сим-тетрахлор-этане, хлороформе, не раств. в ДМФА, ацетоне, бензоле. Из р-ров и расплавов этих полиимидов можно формовать эластичные весьма прочные пленки. Практич. применение находит в качестве кабельной изоляции поли-1,12-додекаметилен-пиромеллитимид (ф-ла V), для пленки к-рого относит, удлинение 300%.

Ароматические полиимиды-твердые трудно горючие в-ва аморфной, мезоморфной или кристаллич. структуры; цвет зависит от способа их получения и хим. строения исходных B-B. Так, поли-4-4'-дифениленпиромеллитимид и поли-4,4'-дифениле-ноксидпиромеллитимид соотв. темно-красного и светло-золотистого цвета; полиимиды 3,3-бис-(4-аминофенил)фталида (ани-линфталеина) и 3,3',4,4'-дифенилоксидтетракарбоновой к-ты-белого цвета. От мн. орг. полимеров ароматические полиимиды отличаются весьма высокой плотн. (1,35-1,48 г/см3); среднемассовая мол. м. (20-200)·103.
Ароматические полиимиды отличаются высокой теплостойкостью; причем наиб. теплостойки полиимиды на основе пиромеллитовой и 1,4,5,8-нафталинтетракарбоновой к-т, практически не размягчающиеся до начала термич. разложения; их т. стекл. 5000C. Теплостойкость других полиимидов хорошо регулируется варьированием природы мономеров и составляет обычно 300-4300C.
Большинство ароматических полиимидов, особенно наиб. высокотеплостойкие, не раств. в известных орг. р-рителях и инертны к действию масел, а также почти не изменяются под действием разб. к-т. Такие полиимиды раств. только в SbCl5 и смеси его с AsCl3, с разложением - в концентрированных HNO3 и H2SO4. С введением в боковую цепь разл. заместителей, особенно кардовых групп (фталидной, фталимидиновой, флуореновой, антроновой), р-римость полиимидов существенно улучшается. Так, полипиромеллитимид анилинфталеина раств. в ДМФА, м-крезоле, сим-тетрахлорэтане, гекса-фтор-2-пропаноле, полиимиды 3,3',4,4'-бензофенонтетракарбоно-вой или 3,3',4,4'-дифенилоксидтетракарбоновой к-ты и анилинфлуорена раств. также в метиленхлориде, хлороформе.
Под действием щелочей и перегретого пара ароматические полиимиды гидролизуются, однако склонность к гидролизу существенно зависит от их природы. Так, полиимиды с 5-членными имидными циклами заметно менее гидролитически устойчивы, чем аналогичные полиимиды с 6-членными циклами. Среди полиимидов с 5-членными имидными циклами наиб. подвержены гидролизу полипиромеллитимиды, наименее-полиимиды 3,3',4,4'-дифенилтетракарбоновой к-ты. Полиимиды подвергаются аминолизу; на этом основано травление полиимидов гидразингидратом (при использовании в электронной пром-сти).
Ароматические полиимиды отличаются высокой радиац. стой-.костью. Так, пленки из поли-4,4'-дифениленоксидпиромел-литимида сохраняют хорошие мех. и электрич. характеристики после облучения электронами высокой энергии дозой 102 МДж/кг (пленки из полистирола и полиэтилентерефта-лата становятся хрупкими после облучения дозой 5 МДж/кг). Полиимиды стойки к действию O3: сохраняют 50% прочности после выдержки 3700 ч на воздухе с примесью 2% озона; они также стойки к УФ излучению.
Важная особенность ароматических полиимиды-их высокая термостойкость. Наиб. термостойки полиимиды, макромолекулы к-рых содержат только имидные циклы и ароматич. кольца. В вакууме и инертной атмосфере ароматич. полипиромеллитимиды стойки до 5000C, выше этой т-ры происходит значит. уменьшение массы (до ~65% от исходной), после чего до 3000 0C масса остатка практически не изменяется. Ароматические полиимиды устойчивы также в условиях длит. изотермич. нагревания; напр., уменьшение массы поли-4,4'-ди-фениленоксидпиромеллитимида после прогревания в инертной атмосфере 15 ч при 400, 450 и 5000C составляет 1,5, 3,0 и 7,0% соответственно. Значительно интенсивнее полиимиды разлагаются при термоокислении. Осн. продукты деструкции ароматических полиимидов-СО и CO2.
Полиимиды-среднечастотные диэлектрики, характеристики к-рых мало зависят от частоты и т-ры: e 3-3,5, r 103-104 ТОм·м (200C) и 1 ТОм·м (2000C);
(1,0-1,5)· 10 -3 (200C).
Для полиимидов характерны весьма высокая для орг. полимеров теплопроводность [150-180 Вт/(м·К)] и низкий коэф. трения (0,05-0,17 по стали).
В ряду ароматических полиимидов наиб. ценным комплексом св-в обладает поли-4,4'-дифениленоксидпиромеллитимид (ф-ла VI). Пленка этого полиимида (пленка ПМ в СССР, кантон H в США) по св-вам при комнатной т-ре (
170 МПа, относит. удлинение 60%) аналогична полиэтилентерефталатной, но значительно превосходит ее при повыш. т-рах и сохраняет гибкость при криогенных т-рах.

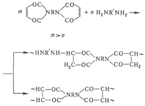
Сетчатые полиимиды
Получение. Для синтеза сетчатых полиимидов используют мономеры с числом функц. групп в молекуле больше двух, а также реакционноспособные олигомеры, содержащие имидные циклы. Функц. группы в них-концевые этиниль-ные, нитрильные, изоцианатные, акриламидные или др., а также кетонные, дифениленовые или др. в основной цепи. Наиб. распространение благодаря доступности исходных в-в, легкости получения и переработки получили сетчатые полиимиды на основе бис-малеинимидов. Формирование трехмерной структуры совмещают с переработкой полиимидов; оно протекает при значительно более низких т-рах (200-2500C), чем термич. циклизация полиамидокислот, и не сопровождается выделением низкомол. продуктов р-ции (чаще H2O), увеличивающих пористость материалов и ухудшающих их св-ва. Р-цию проводят обычно в расплаве при 160-2000C, используя избыток ненасыщ. компонента, напр. бмс-(малеинимидо)ди-фенилметана, и диамин (напр., 4,4'-диаминодифенилметан), дитиол или др. При этом протекают две р-ции по активир. двойной связи бис-малеинимида-нуклеоф. присоединение второго компонента и полимеризация:

Свойства. Сетчатые полиимиды-твердые в-ва, не размягчающиеся до начала термич. разложения на воздухе (до 4000C); не раств. и не набухают в орг. р-рителях. По ряду св-в (мех. и электрич.) аналогичны линейным ароматическим полиимидам. Верх. т-ра их длит. эксплуатации (250-275 0C) на ~ 50 0C ниже, чем у ароматических полиимидов.
Св-ва стеклопластика (ПАИС в СССР, керамид и кинель во Франции) на основе связующего (композиции бис-малеинимидодифенилметана и 4,4'-диаминодифенилметана) приведены ниже:
| Плотн., г/см3 | 1,90 | ||
| Термич. коэф. линейного расширения, К -1 | 1,5·10 -5 | ||
| Деформационная теплостойкость при напряжении 1,85 МПа, | 349 | ||
| | | ||
| при 230C | 186 | ||
| при 2600C | 157 | ||
| | | ||
| при 230C | 343 | ||
| при 2600C | 245 | ||
| | 230 | ||
| Водопоглощение за 24 ч, % | 0,2 | ||
Переработка и применение
Монолитные изделия из неплавких полиимидов получают по технологии, аналогичной порошковой металлургии, подвергая полученные заготовки мех. обработке. Армир. пластики получают методами намотки, прессования, вакуум-формования. Термопластичные полиимиды перерабатывают прессованием или литьем под давлением (см. Полимерных материалов переработка).
На основе ароматических полиимидов получают все виды техн. материалов, предназначенных для длит. эксплуатации при 250-300 0C, а иногда и при более высоких т-рах. Выпускают: электроизоляц. полиимидную пленку, эмаль для обмоточных проводов, заливочные компаунды, связующие, клеи, пластмассы (порошковые кольца, подшипники, уплотнения, электрич. арматура, арматура атомных реакторов и др.), волокна (см. Термостойкие волокна), пенопласты (звукоизоляция, напр. в реактивных двигателях), лакокрасочные материалы. Армир. пластики на основе полиимидов перспективны в качестве материалов для лопаток турбин, обтекателей самолетов, электронных печатных схем и т.п.
Первое упоминание о полиимидах содержится в работе T. Боджерта и P. Реншоу (1908).
Лит.: Коршак В. В., Термостойкие полимеры, M., 1969; Ли Г., Стоф-фи Д., Невилл К., Новые линейные полимеры, пер. с англ., M., 1972; Аскадский А. А., Структура и свойства теплостойких полимеров, M., 1981; Полиимиды-класс термостойких полимеров, Л., 1983; Бюлер К.-У., Тепло- и термостойкие полимеры, пер. с нем., M., 1984; Технология пластических масс, под ред. В. В. Коршака. 3 изд., M., 1985. Я. С. Выгодский.
, МПа .
, МПа
при 230C, МПа