Химические свойства
1. Образование алкоголятов Водородный атом гидроксильной группы при действии щелочных металлов способен заменяться на атомы этих металлов, причем получаются твердые, растворимые в спирте соединения, называемые алкоголятами:
Последняя реакция обратима.
Кроме алкоголятов щелочных металлов, известны также алкоголяты щелочноземельных металлов, алюминия и других металлов.
2-3. Действие галоидных соединений фосфора и действие кислот (этерификация) 2. Действие галоидных соединений фосфора. Эта реакция приводит к получению галоидных алкилов.
3. Действие кислот (этерификация) При действии на спирты кислот происходит выделение воды и образуются вещества, называемые сложными эфирами:

Эта важная реакция, называемая реакцией этерификации, имеет внешнюю аналогию с реакцией нейтрализации кислоты щелочью (хотя сложные эфиры по свойствам нисколько не напоминают соли).
Аналогично образованию кислых и средних солей при нейтрализации двухосновных кислот, при этерификации двухосновной, например серной, кислоты возможно образование кислого сложного эфира, называемого алкилсерной кислотой

или же — среднего эфира

Сопоставляя реакцию этерификации с реакцией образования алкоголятов, можно видеть, что в спирте, как и в воде, очень слабые основные свойства сочетаются с еще более слабыми кислотными свойствами. В отличие от реакции нейтрализации, которая, как известно, представляет собой ионную реакцию, т. е. сводится к соединению ионов водорода и гидроксила, а потому идет моментально, реакция этерификации, как и громадное большинство реакций органических веществ, не является ионной реакцией и протекает медленно.
Реакции этерификации обратимы, а следовательно, ограничены состоянием равновесия. Реакции, обратные этерификации, состоящие в том, что сложный эфир, присоединяя воду, превращается в спирт и кислоту, называются реакциями омыления или гидролиза.
Этерификация спиртов органическими, а также слабыми минеральными кислотами идет очень медленно. Эта реакция ускоряется в присутствии сильных минеральных кислот, так как в растворах таких кислот создается высокая концентрация ионов водорода, являющихся катализаторами реакции этерификации. По этой же причине этерификация спиртов сильными минеральными кислотами идет быстро.
Как показали классические исследования Н. А. Меншуткина, скорость и предел этерификации (равновесная степень этерификации) для разных спиртов различны. Они — наибольшие для первичных спиртов и наименьшие для третичных. Однако это правило не всегда соблюдается, а потому изучение скоростей и пределов этерификации дает лишь ограниченную возможность устанавливать, является ли спирт первичным, вторичным или третичным.
Исследования Н. А. Меншуткина представляли собой фундаментальные физико-химические исследования динамики химических процессов в области органических соединений. Они послужили отправным пунктом для многих последующих работ в этом направлении.
Реакции этерификации являются типичными обратимыми превращениями например, для этерификации этилового спирта уксусной кислотой можно написать такое уравнение:

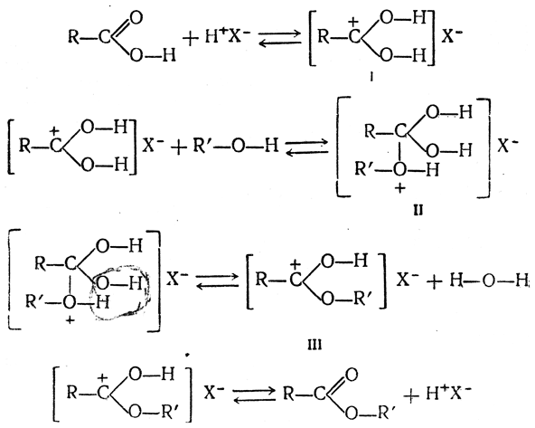
Для объяснения каталитического действия ионов водорода, поставляемых сильными кислотами, предложена следующая схема:

По этой схеме кислород карбонильной группы карбоновой кислоты, захватывая протон (катион минеральной кислоты), дает начало карбоний-иону I, который присоединяет молекулу спирта и образует сложный промежуточный оксониевый комплекс II, способный обратимо распадаться с отщеплением воды. и образованием карбоний-иона сложного эфира III. Последний, регенерируя минеральную кислоту (катализатор), дает молекулу сложного эфира.
Пользуясь методом «меченых атомов», удалось показать, что при этерификации кислоты спиртом молекула выделяющейся при этом воды образуется из гидроксила кислоты и водорода спирта (как это и следует из приведенной выше схемы), а не из гидроксила спирта и водорода карбоксильной группы.
При этерификации бензойной кислоты метанолом, содержащим тяжелый изотоп кислорода О18, был получен сложный эфир, содержавший в своем составе этот изотоп кислорода:

Аналогичное исследование процесса омыления сложных эфиров водой, содержащей тяжелый изотоп кислорода, показало, что омыление эфиров идет по схеме

а не по схеме

потому, что образовавшаяся при омылении кислота содержала О18, а соответствующий спирт его не содержал. Присутствие или отсутствие О18 устанавливалось сжиганием образца вещества и анализом образующихся продуктов сгорания (СО2 и Н2О) на присутствие тяжелого изотопа кислорода О18.
Как показывает приведенный пример, в настоящее время, пользуясь методом «меченых атомов», удается глубже проникнуть в механизм химических процессов. В качестве «меченых атомов» используют тяжелые изотопы водорода Н2, кислорода О18 и т. п. или радиоактивные изотопы других элементов.
Как реакцию, аналогичную этерификации, можно рассматривать и действие на спирты галоидоводородных кислот, приводящее к образованию галоидных алкилов. Эта реакция идет легче всего с третичными спиртами.
4. Отнятие воды (дегидратация)
Реакции, идущие с отнятием воды, могут в конечном результате приводить к образованию или этиленовых углеводородов, или простых эфиров. В первом случае молекула воды выделяется из одной молекулы спирта (за исключением метилового)

во втором случае — из двух молекул спирта:

Образование этиленового углеводорода может происходить при нагревании спирта, чаще всего в присутствии катализаторов или водоотнимающих средств. Легче всего идет дегидратация третичных, затем вторичных и труднее всего — первичных спиртов. Третичные спирты иногда дегидратируются уже при простом нагревании, но чаще требуется применение добавок (серная, борная, щавелевая кислоты, иод, хлористый цинк, кислый сульфат натрия и др.). Для дегидратации вторичных и первичных спиртов нужна высокая температура (200 — 350° С) и гетерогенные катализаторы, например Аl2О3, ThO2.
Простые эфиры образуются при нагревании избытка спирта с серной кислотой, а также при пропускании паров спирта через нагретый безводный сульфат алюминия или безводные квасцы.
5. Окисление
Реакции окисления имеют большое значение для установления строения органических веществ, так как они протекают по-разному для первичных, вторичных и третичных спиртов.
Действие окислителей, как и во многих других случаях, направляется прежде всего на уже «окисленный», т. е. связанный с кислородом, атом углерода. При этом из первичных и вторичных спиртов получаются главным образом продукты, содержащие в молекуле столько же атомов углерода, сколько их было в исходном спирте. В случае первичных спиртов первыми продуктами окисления являются альдегиды

могущие при дальнейшем окислении переходить в кислоты:

Вторичные спирты при окислении дают кетоны:

Окисление третичных спиртов, так же как и дальнейшее окисление кетонов и кислот, может происходить лишь с разрывом связей между атомами углерода, т. е. с расщеплением углеродного скелета. Обыкновенно и здесь окисление направляется, в первую очередь, на «окисленный» атом углерода и приводит к разрыву связей между ним и соединенными с ним радикалами.
6. Действие галоидов
Действие галоидов на первичные и вторичные спирты приводит прежде всего также к образованию альдегидов из первичных спиртов и кетонов из вторичных спиртов, например:

При дальнейшем действии галоидов происходит замещение на галоид атомов водорода в альдегидах и кетонах, 254).
7-8. Отщепление водорода. Превращение первичных и вторичных спиртов в альдегиды и кетоны может происходить и при пропускании паров спирта над накаленными металлами — никелем, железом, цинком и пр., причем спирт распадается на альдегид (соответственно — кетон) и водород:

Особенно хорошо, и к тому же при более низких температурах, эта реакция идет с мелко раздробленной медью (Сабатье).
8. Действие магнийорганических соединений При действии на спирты магнийорганических соединений из радикала магнийорганического соединения и водорода гидроксильной группы получается предельный углеводород. Вместо водорода гидроксильной группы в молекулу спирта вступает остаток металлоорганического соединения, например:

Образующийся при реакции метан можно собрать и измерить, чем пользуются для количественного определения гидроксильных групп в спиртах (Л. А. Чугаев, Ф. В. Церевитинов).