Себациновая кислота
СЕБАЦИНОВАЯ КИСЛОТА (декандиовая к-та, 1,8-октан-дикарбоновая к-та) НООС(СН2)8СООН, мол. м. 202,25; бесцв. кристаллы моноклинной сингонии (a =1,01нм, b = 0,5 нм, с = 1,5 нм, b = 133,8°, z = 2, пространств. группа P21/a); т. пл. 134-135 °С, т. кип. 352 °С (с разл.), 232°С/10мм рт. ст.;
1,207;
1,422; m 8,3·10-30 Кл м; ур-ние температурной зависимости давления пара: \gp (мм рт. ст.) = 10,565-4836,5 /T(456-625 К);
- 5409,4 кДж/моль; K1 2,38 · 10-5, К2 2,60 ·10-6 (25 °С). Р-римость в воде (г в 100 г): 0,1 (15 °С), 2,0 (100 °С); раств. в этаноле и диэтиловом эфире, практически не раств. в бензоле.
Себациновая кислота обладает хим. св-вами, характерными для карбоновых кислот; образует соли, этерифицируется в моно- и диэфиры. Соли и эфиры себациновой кислоты наз. себацинаты (см. табл.). При восстановлении себациновой кислоты образуется 1,10-декандиол, при действии Вr2 на себацинат Аg-1,8-дибромоктан, при дегидратации аммониевой соли или диамида-себацинодинитрил.
Нагревание себациновой кислоты с уксусным ангидридом приводит к неустойчивому полимерному ангидриду, к-рый отщепляет СО2 и превращ. в циклононанон.
Себациновая кислота способна к поликонденсации с бифункцион. соединениями: с гликолями образует полиэфиры [—OROCO(CH2)8CO—]n, с диаминами и аминоспиртами-соотв. полиамиды и полиэфироамиды [—XRNHCO(CH2)8CO—]n (X = О, NH).
В пром-сти себациновую кислоту получают в осн. из касторового масла. При его нагревании с водой (200-225 °С, 1,8-2,5 МПа) образуются глицерин и смесь карбоновых к-т, содержащая 80-85% рицинолевой к-ты; разложение последней щелочью при 250 °С с послед. омылением образующегося себацината Na минер. к-тами приводит к себациновой кислоте (выход 35-40% в расчете на касторовое масло).
Перспективный метод получения себациновой кислоты-анодная конденсация монометиладипината до диметилсебацината с послед. гидролизом диэфира:

Процесс проводят в метаноле на электродах из платинир. Ti при плотн. тока 600-1500 А/м2, т-ре 45-55 °С, гидролиз диэфира осуществляют в избытке воды (220-240 °С, 3,9-4,9 МПа); выход 70-75%.
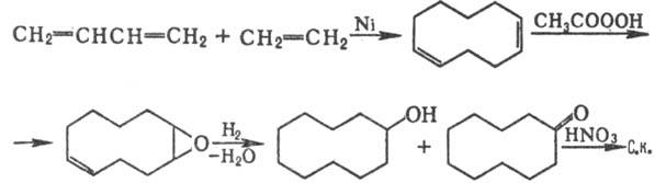
Себациновую кислоту можно получить также окислением циклодекана HNO3 или из 1,3-бутадиена и этилена по схеме:

Себациновую кислоту применяют в пром-сти для произ-ва полигексамети-ленсебацинамида (найлон-6,10), сополиэфирных волокон и клеев, в качестве стабилизатора алкидных смол. Из эфиров себациновой кислоты применяют дибутил- и диоктилсебацинаты в качестве пластификаторов ПВХ, Диизобутилсебацинат-пластификата ряда эластомеров. Ди(2-этилгексил)себацинат входит в состав масел и смазок, работающих при низких т-рах.
Себациновая кислота-горючее в-во, т. самовоспл. 332 °С, ниж. КПВ для пылевоздушной смеси 0,469% (по объему). Эфиры себациновой кислоты-горючие, малотоксичные в-ва; для дибутилсебацината ЛД5о 25,5 г/кг, для диоктилсебацината 19,6 г/кг (мыши, перораль-но). Для последнего ПДК 10 мг/м3. Мировое произ-во себациновой кислоты и ее эфиров ок. 300 тыс. т/год (1985).
Лит.: Кларе Г., Фрицше Э., Гребе Ф., Синтетические полиамидные волокна, пер. с нем., М., 1966; Фрейдлин Г.Н., Алифатические дикарбоновые кислоты, М., 1978. С. К. Смирнов.